NTP 1190: Balance energético y cálculo de pausas - Año 2023

Nota Técnica de Prevención 1.190
 
Título: 
Balance energético y cálculo de pausas
 
Elaborado por: 
Alfredo Álvarez
Centro Nacional de Condiciones de Trabajo (INSST)
 
Resumen: 
En esta NTP se presenta un procedimiento para el cálculo de pausas en el trabajo en función del balance energético entre la energía generada y la consumida. Esta metodología proporciona un valor de tiempo de descanso, en forma de porcentaje referido al total de la jornada laboral, para aquellas situaciones en las que las exigencias de las tareas sean superiores a la energía disponible para llevarlas a cabo.
 

NIPO: 118-20-027-6

Autor: Instituto Nacional de Seguridad y Salud en el Trabajo (INSST), O.A., M.P.

Contiene: 7 páginas

Descargar PDF (836,9 KB)

Contenido relacionado

Contenido del documento en formato texto

Las NTP son guías de buenas prácticas. Sus indicaciones no son obligatorias salvo que estén recogidas en una disposición normativa vigente. A efectos de valorar la pertinencia de las recomendaciones contenidas en una NTP concreta es conveniente tener en cuenta su fecha de edición.

 

1. INTRODUCCIÓN

En el ámbito ergonómico y en el del estudio de métodos y tiempos («time and motion study»), se entiende por pausa («rest allowance») la relación, habitualmente en valor porcentual, entre la duración de un período de trabajo ininterrumpido y la duración del período de descanso subsiguiente.
Además de este tipo de pausas, se pueden distinguir otros tipos que vienen determinados por disposiciones normativas y legales. Por ejemplo, en el estatuto de los trabajadores (Real Decreto Legislativo 2/2015 y sus posteriores actualizaciones) se regulan cuestiones relativas a la duración de las jornadas, los turnos y los descansos, entre otros aspectos. Así mismo, en los convenios colectivos es posible que también se establezcan y se determinen criterios adicionales relativos a esta temática.

Este documento se centra en facilitar criterios técnicos para el cálculo de pausas, siempre y cuando no se contravengan las disposiciones legales aplicables en el ámbito laboral particular de cada caso. A su vez, existen diferentes formas de abordar este cálculo desde la vertiente técnica.
Una posible clasificación de los distintos métodos y criterios sería en función del origen de las variables consideradas:

  • Criterios basados en metodologías de métodos y tiempos. No son los más utilizados en el ámbito ergonómico, ya que suelen estar focalizados en aspectos industriales y productivos y, por ello, suelen carecer de un enfoque preventivo.
  • Métodos psicofísicos. Los valores de descanso propuestos por estos métodos provienen de diseños experimentales en los que los sujetos participantes controlan la duración de los períodos de trabajo y descanso; de forma que la tarea asignada se finaliza cuando estos sienten molestias en alguna parte del cuerpo, reanudando la misma al percibir una recuperación de las zonas corporales implicadas. Aunque este enfoque también se utiliza para la determinación de valores límite en la manipulación manual de cargas, ha sido menos explorado y desarrollado que los métodos fisiológicos.
  • Métodos fisiológicos. Estos métodos se basan en datos fisiológicos y establecen valores límite con el fin de evitar la aparición de fatiga y de estrés fisiológico. Suelen establecer criterios máximos de tasa metabólica o de capacidad aeróbica que delimitan la frontera a partir de la cual se requiere la realización de pausas para no sobrepasarlos. Las metodologías desarrolladas en las notas técnicas de prevención 177 («La carga física de trabajo: definición y evaluación», 1986), 847 («Evaluación de posturas estáticas: el método WR», 2009) y 916 («El descanso en el trabajo (I): pausas», 2011) pertenecen a este grupo.

La metodología presentada en este documento fue desarrollada por Mital y Shell en 1984 (Ayoub y Mital, 1989) y se engloba dentro del conjunto de métodos fisiológicos. El objetivo principal perseguido por los autores es salvar la limitación en la estimación de la capacidad aeróbica implícita en métodos fisiológicos previos, así como contemplar valores de tasas metabólicas más realistas.

Para el cálculo de las pausas, el método parte de la situación de equilibro energético del cuerpo humano; estableciendo implícitamente, para ello, una ecuación de balance energético que contempla tanto la energía generada como la energía consumida. Por una parte, este balance tiene un carácter aproximado, ya que solo considera los factores energéticos más relevantes, y, por la otra, la estimación de cada uno de los factores también se basa en valores y en criterios aproximados. Por todo esto, el resultado de tiempo de descanso obtenido con este método debe interpretarse como una indicación o recomendación aproximada sobre este tiempo.

Por último, es importante resaltar que el método solo proporciona un valor de tiempo de descanso para la jornada laboral, sin aportar información alguna sobre la distribución de este tiempo, en forma de pausas, a lo largo de dicha jornada. A este respecto, hay que tener presente que la distribución de las pausas es un factor importante para facilitar la recuperación fisiológica y para evitar la fatiga. Algunos modelos, como el desarrollado en la mencionada nota técnica de prevención 847 (2009) para posturas estáticas, muestran cómo varía, para un mismo tiempo de descanso, la recuperación muscular en función de la duración parcial y de la distribución de las pausas.

2. BALANCE ENERGÉTICO

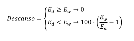
Tal y como se ha mencionado previamente, el modelo se basa en la consideración de la energía total diaria (ET) como un equilibro entre las demandas energéticas de las tareas (Ew) y la energía total disponible (Ed) para poder realizarlas.

De esta forma, el modelo considera que, en una situación de equilibro, el requerimiento energético de las tareas durante la jornada laboral es igual a la energía disponible para este período de tiempo. El cálculo del tiempo de descanso se basa en la diferencia que pudiera producirse entre estos dos valores con motivo de la actividad laboral, y se calcula como el porcentaje de la relación entre las demandas energéticas y la energía disponible según la siguiente expresión.

Es decir, cuando la energía disponible es superior a la requerida para la realización de las tareas, se obtiene un valor negativo de tiempo de descanso que se interpreta como 0%. En cambio, cuando las exigencias energéticas para realizar las tareas son superiores a la energía disponible, el valor obtenido representa el porcentaje de tiempo de descanso respecto al tiempo total de trabajo.

Por lo tanto, para calcular el tiempo de descanso requerido, es necesario estimar los valores tanto de la energía disponible como de la energía requerida para la realización de la actividad laboral.

La energía disponible hace referencia a la energía remanente para la realización de la actividad laboral. Es la que se obtiene a través de la ingesta y de la metabolización de alimentos (Ea), teniendo presente que debe descontarse el consumo asociado a la propia ingesta de los alimentos (Ei), el relativo al período de sueño (Es) y, finalmente, el correspondiente a las actividades de ocio (Eo), que abarca las actividades de índole no laboral.
Este desglose puede expresarse formalmente a través de la siguiente ecuación:

De esta forma, la condición de equilibrio energético queda definida y especificada a través de la siguiente expresión:

El modelo tamb ién considera que la suma del tiempo correspondiente a la jornada laboral (tw), a las horas de sueño (ts) y al ocio (to) debe ser igual a 24 horas (figura 1).

 

Figura 1. Factores temporales a lo largo de un día

Unidades de medida

La unidad de energía en el sistema internacional de unidades es el julio (J), mientras que la correspondiente a la potencia es el vatio (W). No obstante, es habitual que, en la bibliografía especializada en este ámbito, las unidades utilizadas sean, respectivamente, las kilocalorías (kcal) y las kilocalorías por minuto (kcal·min-1), correspondientes al sistema cegesimal. Así mismo, es habitual utilizar la expresión «tasa metabólica» en lugar de potencia cuando, en realidad, se refieren a la misma magnitud física. También es frecuente utilizar la expresión «gasto energético» y «consumo energético» como sinónimo de «energía».

Sean cuales fueran las unidades que finalmente se utilicen para realizar el balance energético anterior, es crucial mantener la uniformidad y la coherencia de estas en el cálculo de dicho balance. Es decir, si se opta por hacer uso de julio y de vatios, se debe mantener esta decisión al calcular todas las variables del balance energético, evitando emplear de forma simultánea variables expresadas en el sistema internacional junto con variables expresadas en el sistema cegesimal u otros sistemas.

Cuando sea necesario convertir las unidades de un sistema a otro, pueden emplearse las conversiones exactas de la tabla 1, que están basadas en la definición de caloría termoquímica.

Tabla 1- Factores de conversión de unidades.

Energía de los alimentos (Ea)

La energía de la que puede disponer una persona; es decir, la energía que puede ser consumida por los procesos metabólicos corporales, constituye una característica propia de la misma. Este valor corresponde, en una situación de equilibro, al gasto energético total. Por una parte, este último valor puede medirse a través de procedimientos específicos como, por ejemplo, el análisis (E ) de agua doblemente marcada, o, por la otra, puede ser estimado a través de datos colectivos. Si bien la primera opción es la que proporciona valores más precisos y exactos, es mucho más costosa y difícil de llevar a cabo que la segunda.

Por ello, se pueden utilizar, salvo situaciones y casuísticas específicas y particulares, valores colectivos para estimar esta energía. Los datos disponibles más recientes son los publicados por la «National Academies of Sciences, Engineering, and Medicine», en adelante NASEM, (2023). Estos datos son una actualización de los valores publicados en 2005 y hacen referencia a las poblaciones estadounidense y canadiense. A nivel nacional, Carbajal (2003, actualizado 2017) proporciona datos de la población española, aunque con ciertas limitaciones.

Los valores publicados por NASEM permiten estimar la energía necesaria para mantener el equilibrio energético en un adulto, sin que se produzca un deterioro de su salud, en función de su edad, sexo, peso, altura y nivel de actividad física. Por eso, en este contexto, puede interpretarse como la energía generada a través de la ingesta y la metabolización de los alimentos.

NASEM proporciona una serie de ecuaciones para diferentes individuos y casuísticas. En la tabla 2, se reproducen las ecuaciones para personas de 19 años o más. La energía se obtiene en kilocalorías por día (kcal·d-1), la edad está en años cumplidos, la altura en centímetros y el peso en kilogramos.

Tabla 2. Requerimiento energético diario para adultos (de 19 o más años) con un peso estable.

El nivel de actividad física (PAL, del inglés «physical activity level») es una categoría que engloba el estilo de vida en función de la actividad laboral, los desplazamientos, el tiempo de ocio, los patrones de sueño y los factores medioambientales. De forma genérica, la categoría «inactivo» refleja un nivel de consumo energético que abarca el metabolismo basal, el efecto térmico de los alimentos y un nivel mínimo de actividad física. La categoría de «poco activo» refleja un nivel de actividad física superior al mínimo, que implica más tiempo de andar o caminar, así como la realización de algunas actividades profesionales y recreativas. La categoría «activo» conlleva la realización de más actividades profesionales, recreativas y de caminar. Finalmente, la categoría «muy activo» comprende no solo las exigencias energéticas de la vida diaria, sino también la realización de grandes esfuerzos en el ámbito laboral o en el tiempo de ocio.

Consumo durante la ingesta de alimentos (Ei)

El coste energético relativo a la propia ingesta y a la digestión de los alimentos corresponde, según NASEM (2023), a un 10% de la energía procedente de la metabolización de los alimentos.

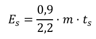
Consumo durante el período de sueño (Es)

La energía consumida durante el sueño puede estimarse utilizando la expresión propuesta por Ayoub y Mital (1989), según la cual el consumo durante este período de tiempo es directamente proporcional a 0,9 𝑘cal/kg-t. Por lo tanto, el gasto energético se obtiene mediante la siguiente expresión, teniendo en cuenta que ts es el tiempo de sueño expresado en horas y m el peso corporal de la persona expresado en kilogramos.

Consumo durante el tiempo de ocio (Eo)

El consumo energético durante el tiempo de ocio se puede estimar partiendo de la tasa metabólica durante dicho período de tiempo.
Es decir, conociendo la tasa metabólica promedio durante el tiempo de ocio (𝑃𝑃𝑜𝑜), el consumo energético para un período de ocio to (expresado en horas) se calcula como:

En el supuesto de que se realicen diferentes actividades que impliquen distintas tasas durante este período temporal, entonces la energía total consumida, Eo, se calcula como la suma del gasto energético que conllevan las diferentes actividades; es decir:

En ocasiones se utiliza el valor por defecto de 1,5 kcal·min-1 para la tasa metabólica promedio, que representa la tasa energética correspondiente a una tarea sedentaria típica en tiempo de ocio, como aproximación para estimar el consumo durante las actividades de ocio.
De este modo, la energía consumida durante esta etapa puede estimarse, de forma más aproximada a forma más precisa, a través de cualquiera de las expresiones siguientes:

Energía para las tareas (Ew)

Este factor recoge el total de energía consumida durante la jornada laboral. Corresponde a la suma de la energía requerida para llevar a cabo cada una de las tareas que se realizan.

La estimación y el cálculo de este gasto energético puede realizarse, entre otros, siguiendo los procedimientos contemplados en la norma UNE-EN ISO 8996:2021 sobre determinación de la tasa metabólica. Dicha norma contiene tablas con valores de tasas metabólicas para los niveles 1 y 2 de evaluación, así como procedimientos específicos de medición para los niveles 3 y 4 de evaluación.

3. PROCEDIMIENTO DE APLICACIÓN

El diagrama de la figura 2 muestra el procedimiento de aplicación de este método para el cálculo del tiempo de descanso. El conjunto de pasos necesarios puede agruparse en tres etapas. La primera de ellas, en amarillo, corresponde a la recogida de datos relativos tanto a características personales como a la distribución de tiempos a lo largo del día. La segunda, en rojo, abarca el cálculo de los factores de la ecuación de balance energético, mientras que la última, en azul, atañe al cálculo del tiempo de descaso.

Figura 2. Diagrama de flujo para la aplicación del método.

4. EJEMPLOS

A continuación, se muestra el procedimiento de cálculo, junto con los pasos y los cálculos intermedios, para del período de descanso en dos supuestos hipotéticos.

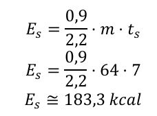
Supuesto 1

Sea un trabajador de sexo masculino de 29 años. Su altura es de 1,70 metros y su masa corporal de 64 kilogramos. El tiempo de trabajo diario es de 8 horas, mientras que el tiempo de sueño es de 7 horas. En general, el nivel de actividad física puede clasificarse como «activo». Durante la jornada laboral, las tareas que realiza el trabajador y las tasas correspondientes pueden agruparse de forma que, en promedio, la tasa es igual a 1,7 kcal·min-1 durante 3 horas y 3,9 kcal·min-1 durante las 5 horas restantes.

La energía generada a partir de la ingesta de alimentos se obtiene a través de la siguiente expresión procedente de la tabla 1, teniendo en cuenta el sexo y el nivel de actividad física.

El gasto correspondiente a la ingesta de los alimentos es el 10% de la energía generada; es decir:

Por su parte, el gasto asociado durante la etapa de sueño se estima de la siguiente forma:

El tiempo de ocio es de 9 horas y, a falta de datos de consumo durante este período, se utiliza el valor por defecto de tasa promedio de 1,5 kcal·min-1. Por lo tanto, el gasto energético es:

La demanda energética correspondiente a la jornada laboral se obtiene sumando los consumos asociados a las diferentes actividades realizadas.

Se observa que las exigencias energéticas durante la jornada laboral (1476,0 kcal) son menores que la energía disponible (1542,4 kcal). Es decir, la energía consumida (2751,0 kcal) es inferior a la energía generada (2817,4 kcal), tal y como se muestra en la figura 3. En esta situación, el método no recomienda ni determina ningún tiempo de descanso.

Figura 3. Desglose energético correspondiente al supuesto 1.

Supuesto 2

Sea un trabajador de sexo masculino de 38 años. Su altura es de 1,80 metros y su peso de 70 kilogramos. El tiempo de trabajo diario es de 8 horas, mientras que el tiempo promedio de sueño es igual a 7,5 horas. En general, el nivel de actividad física puede clasificarse como «poco activo». Durante la jornada laboral, las tareas que realiza el trabajador y las tasas correspondientes pueden agruparse de forma que, en promedio, la tasa es igual a 3,1 kcal·min-1 durante 2 horas, 3,3 kcal·min-1 durante 3 horas y 3,5 durante las 3 horas restantes.

Los valores se obtienen de la misma forma que en el supuesto anterior y, de forma resumida, se muestran en la tabla 3 y en la figura 4.


Tabla 3. Valores de energía para el supuesto 2.

En este supuesto, la energía disponible es inferior a los requerimientos energéticos de las tareas y, por lo tanto, el tiempo de descanso se calcula de la siguiente forma:

Este valor porcentual se refiere al tiempo de descanso que debería realizarse durante el tiempo de trabajo. Por lo tanto, como este tiempo es de 8 horas, el 9,4% de descanso corresponde a 0,75 horas (45 minutos).

Figura 4. Desglose energético correspondiente al supuesto 2.

BIBLIOGRAFÍA

Álvarez, A. 2009. Evaluación de posturas estáticas: el método WR. Instituto Nacional de Seguridad e Higiene en el Trabajo, NTP 847.

Ayoub, M.M., Mital, A. 1989. «Manual materials handling: design and injury control through ergonomics». Londres: Taylor & Francis. DOI: 10.1201/9781003069423.

Carbajal Azcona, Ángeles. 2003. Ingestas recomendadas de energía y nutrientes. En: Nutrición y dietética. Tema 2. pp: 27-44. García-Arias, M.T. y García-Fernández, M. C. (eds). Secretariado de Publicaciones y Medios Audiovisuales. Universidad de León. Actualizado 2017. Disponible en este enlace.

Chavarría, R. 1986. La carga física de trabajo: definición y evaluación. Instituto Nacional de Seguridad e Higiene en el Trabajo, NTP 177.

National Academies of Sciences, Engineering, and Medicine. 2023. «Dietary Reference Intakes for Energy». Washington, DC: The National Academies Press. DOI: 10.17226/26818

Nogareda, S., Bestratén, M. 2011. El descanso en el trabajo (I): pausas. Instituto Nacional de Seguridad e Higiene en el Trabajo, NTP 916.

Real Decreto Legislativo 2/2015, de 23 de octubre, por el que se aprueba el texto refundido de la Ley del Estatuto de los Trabajadores. Disponible en este enlace.

UNE-EN ISO 8996:2021. «Ergonomía del ambiente térmico. Determinación de la tasa metabólica (ISO 8996:2021. (Ratificada por la Asociación Española de Normalización en febrero de 2022.)»