NTP 847: Evaluación de posturas estáticas: el método WR - Año 2009

Notas Técnicas de Prevención 847 Evaluación de posturas estáticas: el método WR Año: 2009 Las NTP son guías de buenas prácticas.
Sus indicaciones no son obligatorias salvo que estén recogidas en una disposición normativa vigente.
A efectos de valorar la pertinencia de las recomendaciones contenidas en una NTP concreta es conveniente tener en cuenta su fecha de edición.
Evaluation of static working postures: WR method L’évaluation des postures de travail statiques: le méthode WR Alfredo Álvarez Ingeniero industrial CENTRO NACIONAL DE CONDICIONES DE TRABAJO Esta NTP trata sobre el método WR (work-rest model) para la evaluación de posturas estáticas: su base, ámbito de aplicación y limitaciones.

NIPO: 792-09-063-6

Autor: Instituto Nacional de Seguridad y Salud en el Trabajo (INSST), O.A., M.P.

Contiene: 6 páginas

Descargar PDF (378,0 KB)

Contenido relacionado

Contenido del documento en formato texto

Notas Técnicas de Prevención 847 Evaluación de posturas estáticas: el método WR Año: 2009 Las NTP son guías de buenas prácticas.
Sus indicaciones no son obligatorias salvo que estén recogidas en una disposición normativa vigente.
A efectos de valorar la pertinencia de las recomendaciones contenidas en una NTP concreta es conveniente tener en cuenta su fecha de edición.
Evaluation of static working postures: WR method L’évaluation des postures de travail statiques: le méthode WR Alfredo Álvarez Ingeniero industrial CENTRO NACIONAL DE CONDICIONES DE TRABAJO Esta NTP trata sobre el método WR (work-rest model) para la evaluación de posturas estáticas: su base, ámbito de aplicación y limitaciones.
Así mismo se muestran tres ejemplos que contemplan algunas de las principales posibilidades que se dan frecuentemente en la aplicación del método.
1.
INTRODUCCIÓN Una postura de trabajo estática es aquella que se mantiene durante más de 4 segundos y en la que se pueden dar ligeras variaciones alrededor de un mismo nivel de fuerza generado por los músculos y otras estructuras corporales (ISO 11226).
Las actuaciones para disminuir la carga estática se centran en tres aspectos: la mejora de la postura, la disminución de la fuerza y la realización de pausas de descanso adecuadas (Douwes et al.
1999).
La NTP 819 “Evaluación de posturas de trabajo estáticas: el método de la posición de la mano” lista los siguientes métodos como los más conocidos para la evaluación de las posturas estáticas y se dedica a la explicación del primero de ellos: • Método de la posición de la mano • Método WR • ISO 11226 El método WR, desarrollado por Dul et al.
(1991), propone utilizar la capacidad de resistencia residual (REC) como variable para predecir el disconfort asociado a las posturas estáticas.
En base a ello, permite estudiar el efecto que tienen los tiempos de trabajo y descanso sobre dicho disconfort.
Si bien la norma ISO 11226 establece una serie de límites para el tronco, cabeza, extremidad superior y extremidad inferior, también recomienda que el tiempo de recuperación para cada postura deba determinarse en base a datos de resistencia muscular.
Concretamente, el anexo B de dicha norma muestra un ejemplo cuyos resultados son iguales a los obtenidos mediante el método WR (aunque la norma no menciona ningún método de cálculo en concreto).
2.
DEFINICIÓN DE CONCEPTOS Partiendo de una situación de descanso suficiente, el el tiempo máximo sostenido (MHT, del inglés maximum holding time) representa el tiempo máximo que puede mantenerse una postura de forma continua.
El tiempo de trabajo (HT, del inglés holding time) es el período de tiempo durante el cual se mantiene una postura.
La capacidad de resistencia residual (REC, del inglés remaining endurance capacity) es el tiempo durante el cual una postura puede ser mantenida después de un período de esfuerzo muscular.
Tanto la REC como el HT se suelen expresar, de forma habitual, como porcentaje del MHT. La relación entre la REC y el disconfort perci bido por el trabajador viene dado mediante una relación lineal (Dul et al.
1991) que, matemáticamente, se expresa de la siguiente forma:disconfort = 10 – 10 REC Estos tres conceptos están relacionados entre sí tal y como se muestra en la figura 1.
Partiendo de una situación de descanso, el tiempo que puede mantenerse una postura es igual al MHT. Es decir, si se mantiene una postura durante el 100% del MHT, la REC es cero y, por lo tanto, es imposible volver a adoptar dicha postura de forma inmediata.
Si, por el contrario, se mantiene una postura durante el 75% del MHT, es física mente posible adoptar de nuevo dicha postura ya que la REC es 25%.
Gráficamente, estas situaciones conforman la línea Sin descanso de la figura 2.
Contrariamente, si se proporciona un descanso suficientemente largo entonces es posible asumir una recuperación total, independiente mente del tiempo que se adoptó la postura.
En la figura 2, esta situación está representada por la línea Descanso ∞. El área comprendida entre ambas líneas es el campo que pretende cubrir el método WR (Milner et al.
1986).
La relación entre fuerza y MHT fue estudiada inicial mente por Rohmert y completada por Björkstén y Jonsson (1977) y Sjøgaard (1986), de forma que la relación entre ambos factores viene dada por la siguiente expresión: 5710 MHT = %MVC 2,14 Donde %MVC es la fuerza expresada como porcentaje de la contracción máxima voluntaria y MHT es el tiempo máximo sostenido expresado en minutos.
t0 10 0 Tiempo Figura 1.
Relación entre MHT, HT y REC Disconfort REC MHT0 100 1 90 TIEMPO 2 80 M H T H T R E C t2 4 60 5 50 R E C H T3 70 6 40 7 30 t1 8 20 9 10 25 50 75 100 REC 25 50 75 100 HT Sin descanso Descanso ∞ Figura 2.
Situaciones extremas de descanso total y ausencia de descanso 3.
MÉTODO WR Para la aplicación del método WR es necesario conocer de antemano la siguiente información: • Contracción máxima voluntaria del grupo muscular que realiza la tarea.
• Períodos de tiempo de trabajo.
• Períodos de tiempo de descanso.
• Tiempo total de la tarea o número de ciclos.
El cálculo de la curva debe realizarse por ciclos.
En cada ciclo el cálculo puede dividirse en dos etapas (de trabajo y de descanso), cuyas expresiones matemáticas son: • Etapa de trabajo.
En esta etapa, el tiempo (t max) durante el cual puede seguir manteniéndose una deter minada postura (es decir, la REC), viene dado por la siguiente expresión: t = t i-1 – t max max Para la primera etapa de trabajo (es decir, cuando i = 1) se tiene que el valor t max 0 es el correspondiente al MHT, que se calcula mediante la expresión de Sjøgaard.
De esta expresión se deduce que es matemáticamente imposible realizar una tarea cuya duración sea i-1 superior a t max .
Es decir, la duración de la tarea debe i-1 cumplir que t ≤ t max .
• Etapa de descanso.
La expresión de la REC que rige la etapa de descanso se caracteriza por ser una función creciente, de tal forma que a medida que transcurre el tiempo (más descanso) la REC aumenta.
La expresión matemática, desarrollada por Milner (1985), correspondiente es: ii ( )t t t t –0,5 0 w –0,5 0 w i-1 –t + t 0 · 1 – e tma x ma x t = t · e max max max ( i )t i –0,164 w i – t w · 1 – e t t w 2 Notas Técnicas de PrevenciónSiendo (figura 3): 0t max el MHT. it max el tiempo que puede seguir manteniéndose la postura (es decir, la REC) después del ciclo de trabajodescanso i .
ti w el tiempo de trabajo correspondiente al ciclo de trabajo-descanso i.
t el tiempo transcurrido después del ciclo de trabajodescanso i = 1 REC Tiempo Ciclo i+1Ciclo iCiclo i-1 tw i t tmax i-1 tmax i Figura 3.
Variables para el cálculo de la fase de descanso 4.
EJEMPLOS DE APLICACIÓN Se presentan tres ejemplos para el cálculo de la curva WR. En el primero de ellos se detallan todos y cada uno de los pasos que deben seguirse para la construcción de una determinada curva.
El segundo muestra diferentes distri buciones de pausas a lo largo del trabajo y el efecto que tienen sobre la REC. Finalmente, el último ejemplo compa ra dos distribuciones asimétricas de trabajo-descanso.
Ejemplo 1 Se trata de calcular la curva WR partiendo de la siguiente información previa: • Contracción máxima voluntaria: 20%.
• El tiempo de trabajo es de 8 minutos.
• El tiempo de descanso es de 8 minutos.
• El ciclo se repite 2 veces.
Es importante visualizar, inicialmente, la forma aproxi mada que tendrá la curva que se quiere calcular.
En la figura 4 se observa que, en este caso, es posible dividir la curva en dos ciclos trabajo-descanso.
A su vez, cada uno de ellos se subdivide en la etapa de trabajo y la etapa de descanso (figura 4).
0 5 10 15 20 25 30 35 40 Tiempo / min 0 20 40 60 80 100 120 % R E C Descanso Trabajo Ciclo 2 Descanso Trabajo Ciclo 1 Figura 4.
División de la curva WR Primer ciclo trabajo-descanso.
Etapa de trabajo Como se trata del primer ciclo, entonces i = 1, de tal forma que la ecuación para la fase de trabajo queda de esta forma: t = t0 – t = MHT – t max max El valor MHT debe calcularse mediante la expresión de Sjøgaard sabiendo que el trabajo se realiza al 20% de la MVC. De esta forma: 5710 MHT = = 9,385 minutos 202,14 Como el tiempo de trabajo definido en el enunciado es de 8 minutos, entonces el tmax de la fase de trabajo toma el siguiente valor: t max = 9,385 –8 = 1,385 Expresado en porcentaje, este valor de tmax representa el 14,76% del MHT. De esta forma, es posible dibujar la recta correspondiente a esta etapa en la figura 5.
0 5 10 15 20 25 30 35 40 Tiempo / min 0 20 40 60 80 100 120 % R E C (8, 14.
76) Figura 5.
1er ciclo de trabajo-descanso.
Etapa de trabajo Primer ciclo trabajo-descanso.
Etapa de descanso Tomando la ecuación de la fase de descanso y sustituyendo i = 1 (se trata del primer ciclo), resulta: t t1 ( t t1 w )–0,5 w –0,5 t = t0 · e t0 + t0 · 1 – e t 0 – max ma x max max max t –0,164 w 1 – e( 1 )1 1– t · t t w w Del enunciado, se tiene que el tiempo de trabajo del primer ciclo (y también del segundo) es de 8 minutos, por lo que t 1 w = 8 minutos .
Sustituyendo en la expresión anterior, se obtiene: t 8 t 8–0,5 –0,5 9,385 9,385 t max = 9,385 · e + 9,385 · 1 – e – 8 –0,164 t 8– 8 · 1 – e ( ) Al igual que en la etapa de descanso, las unidades de t max son minutos pero lo más habitual es expresarlo como porcentaje del MHT. Al dividir la expresión anterior entre MHT y multiplicar por 100 se obtiene: 8 –0,1648t = 100 · 1 – · 1 – e max [ 9,385 ( ( ] t 8 3 Notas Técnicas de Prevención( ) De esta forma, al sustituir los valores de t comprendidos entre 8 y 16 minutos (el tiempo de descanso es de 8 minutos según el enunciado), 8 < t ≤ 16, se obtiene la curva correspondiente a la recuperación debida al descanso.
Haciendo la representación gráfica y añadiéndola a continuación de la recta de la etapa de trabajo se obtiene la representación de la figura 6.
0 5 10 15 20 25 30 35 40 Tiempo / min 0 20 40 60 80 100 120 % R E C (16, 87.
11) Figura 6.
1er ciclo de trabajo-descanso.
Etapa de descanso Para la siguiente fase de cálculo, es necesario tener el valor de t max al final de la etapa de descanso, cuando t = 16 , ya que será el valor que tome la variable t 1 max : = 100 · [ ( 8 –0,164 ———8 16-81 – · 1 – e 9,385 ( ]= 87,107 1t = t max max Expresado en minutos: 9,385 t max = 87,107 · = 8,175 minutos 100 Segundo ciclo trabajo-descanso.
Etapa de trabajo Al tratarse del segundo período, entonces i = 2 por lo que: 1 t max = t max – t = 8,175 – t Expresado como porcentaje de MHT: 1 100 t max = t max – t = 87,107 – t · 9,385 Añadiend o esta recta al gráfico, se obtiene la fi gur a 7.
0 5 10 15 20 25 30 35 40 Tiempo / min 0 20 40 60 80 100 120 % R E C (24, 1.
86) Figura 7.
2º ciclo de trabajo-descanso.
Etapa de trabajo Segundo ciclo trabajo-descanso.
Etapa de descanso Sustituyendo i = 2 en la expresión para la etapa de des canso se obtiene: 2 t t2 t t ( w –0,5 0 w –0,5 1 – e 001 t tt = t + t· e · –max max max max max ( 2 )t 2 –0,164 w 2 – t · 1 – e t t ww Sustituyendo t 2w = 8 (el tiempo de trabajo es igual a 8 minutos en ambos ciclos de trabajo) y el valor de t 1max en la fórmula, se llega a: t 8 t 8 –0,5 –0,5 9,385 9,385 t max = 8,175 · e + 9,385 · 1 – e –( ) 8 –0,164 t 8– 8 · ( 1 – e ) Expresado como porcentaje de MHT: t 8 t 8 –1 – e –0,5 –0,5 9,385 + 100 · 9,385 t = 87,107 · e max 8 –0,164(1 – e )100 – · 8 · 9,385 t 8 4 Notas Técnicas de Prevención) ) ( De nuevo, la variable t (el tiempo transcurrido a par tir del período trabajo-descanso i – 1) toma los valores 8 < t ≤ 16.
Haciendo la representación se obtiene el grá fico de la figura 8.
0 5 10 15 20 25 30 35 40 Tiempo / min 0 20 40 60 80 100 120 % R E C (32, 78.
69) Figura 8.
2º ciclo de trabajo-descanso.
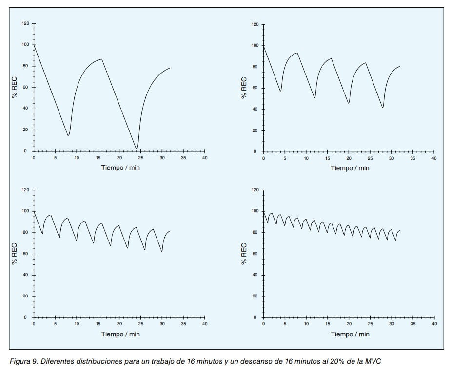
Etapa de descansoSi en lugar de 2 ciclos la tarea constase de 3 ciclos, se debería calcular el valor correspondiente a t = 16 en la ecuación anterior, ya que sería el valor del parámetro t2 max utilizado en el tercer período de trabajo-descanso: 16 8 16 8 –0,5 –0,5 9,385 9,385 t max = 87,107 · e + 100 · 1 – e –( ) 8 –0,164100 16 8– · 8 · (1 – e )9,385 9,385 t = t 2 = 78,688 10 0 7,385 minutos max max 0 5 10 15 20 25 30 35 40 Tiempo / min 0 20 40 60 80 100 120 % R E C 0 5 10 15 20 25 30 35 40 Tiempo / min 0 20 40 60 80 100 120 % R E C 0 5 10 15 20 25 30 35 40 Tiempo / min 0 20 40 60 80 100 120 % R E C 0 5 10 15 20 25 30 35 40 Tiempo / min 0 20 40 60 80 100 120 % R E C Figura 9.
Diferentes distribuciones para un trabajo de 16 minutos y un descanso de 16 minutos al 20% de la MVC 5 Notas Técnicas de Prevención Ejemplo 2 Una característica importante que permite estudiar el método WR es el efecto de la duración y distribución de las pausas de trabajo sobre la REC. Por ejemplo, sea un trabajo que se realiza al 20% de la MVC. El tiempo de trabajo total, al igual que el tiempo de descanso total, es de 16 minutos.
Con esta información, se pueden realizar varias combinaciones trabajo-descanso: • 2 ciclos de 8 minutos de trabajo y 8 minutos de descanso.
• 4 ciclos de 4 minutos de trabajo y 4 minutos de descanso.
• 8 ciclos de 2 minutos de trabajo y 2 minutos de descanso.
• 16 ciclos de 1 minuto de trabajo y 1 minuto de descanso.
La primera combinación es la que se ha calculado en el ejemplo anterior.
Las tres restantes se calculan de forma análoga.
La figura 9 muestra la curva WR para estas cuatro posibilidades.
Se observa que, sin modificar el tiempo de descanso total (16 minutos), se reduce el disconfort a medida que se aumenta el número de pausas de corta duración.
Ejemplo 3 Este ejemplo muestra cómo el orden de las diferentes etapas de trabajo afecta al disconfort.
Para ello, se aplica el modelo WR con fases asimétricas: dentro de un mismo período, los tiempos de trabajo son diferentes.
Para una situación en la que el tiempo total de trabajo es de 18 minutos y el tiempo total de descanso de 18 minutos, una posible secuencia de trabajo-descanso sería: • Contracción máxima voluntaria: 20%.
• Tiempos de trabajo de 4, 3 y 2 minutos.
• Tiempos de descanso de 4, 3 y 2 minutos.
• El ciclo se repite 2 veces.
Es decir, primero se da una fase de trabajo de 4 minutos, seguida de un descanso de 4 minutos, a continuación sigue una fase de trabajo de 3 minutos seguida de un descanso de 3 minutos y, finalmente, se da una fase de trabajo de 2 minutos seguida de un descanso de 2 minutos.
Este ciclo se repite un total de 2 veces.
Se puede fijar otra secuencia de trabajo-descanso, sin modificar los tiempos totales, de la siguiente forma: • Tiempos de trabajo de 2, 3 y 4 minutos • Tiempos de descanso de 2, 3 y 4 minutos La figura 10 muestra las dos posibilidades.
Se observa que la situación que produce un menor disconfort es aquella en la que el trabajo de larga duración se realiza al principio (el disconfort aumenta a medida que este trabajo se realiza más tarde en el tiempo).
6 Notas Técnicas de Prevención 0 10 20 30 40 Tiempo / min 30 40 50 60 70 80 90 100 110 % R E C 0 10 20 30 40 Tiempo / min 30 40 50 60 70 80 90 100 110 % R E C Figura 10.
Comparación de dos secuencias trabajo-descanso 5.
CONSIDERACIONES Los autores del método hacen hincapié en el hecho de que el modelo matemático subyacente fue determinado a partir del mejor ajuste posible a un conjunto de datos empíricos medidos y promediados para un grupo de individuos.
El mínimo valor que toma la REC para una determinada secuencia de trabajo-descanso debe considerarse como la variable más importante, ya que indica el valor más alto de disconfort experimentado por la población.
El criterio para la valoración de posturas estáticas que se utiliza en el método WR se basa en la fatiga física muscular.
La carga soportada por las estructuras pasivas como tendones, ligamentos, etc.
no es considerada por el método, a pesar de que dicha carga puede ser importante en el desarrollo de trastornos musculo-esqueléticos derivados de la adopción de posturas extremas.
Este método ha sido desarrollado para posturas estáticas puras en las que no existe movimiento alguno del cuerpo.
En la mayoría de las posturas de trabajo, se dan ligeras variaciones tanto posturales como de carga.
Ello resulta en recuperaciones musculares parciales de forma que la aplicación del método a estas situaciones resulta en la subestimación del valor de la REC. En cuanto al umbral de disconfort admisible, el anexo B.2 de la norma ISO 11226 establece como límite máximo de disconfort un valor de 2 medido mediante una escala de Borg (1998).
En términos de REC, este valor se corresponde con un 80%.
Es decir, de acuerdo al criterio de la norma, la REC nunca deberá ser inferior a 80%.
En otra publicación, Douwes et al.
(1999) también proponen un valor de REC de 80% como límite mínimo que no debe sobrepasarse.
BIBLIOGRAFÍA (1) BJÖRKSTÉN, M., JONSSON, B. Endurance limit of force in long-term intermittent static contractions.
Scandinavian Journal of Work Environment & Health!, 1977, 3, 23-27.
(2) BORG, G. Borg’s perceived exertion and pain scales, Human Kinetics Publishers, Estocolmo, 1998.
(3) DOUWES, M., MIEDMA, M. C., DUL, J. Methods based on maximum holding time for evaluation of working postures, The occupational ergonomics handbook.
Boca Raton FL, CRC Press, 1999.
(4) DUL, J., DOUWES, M., SMITT, P. A Work-rest model for static postures.
Proceedings of the 11th congress of the international ergonomics association, 1991, 93-95.
(5) ISO 11226:2000, ERGONOMICS Evaluation of static working postures.
(6) MIEDMA, M. C., DOUWES, M., DUL, J. Recommended maximum holding times for prevention of discomfort of static standing postures, International Journal of Industrial Ergonomics.
1997, 19, 9-18.
(7) MILNER, N., MODELING Fatigue and recovery in static postural exercise.
University of Nottingham, Nottingham, Ph.D. Thesis, 1985.
(8) MILNER, N. P., CORLETT, E. N., O’BRIEN, C. A Model to predict recovery from maximal and submacimal isometric exercise, The ergonomics of working postures.
London, Taylor and Francis, 1986, 126-135.
(9) SJØGAARD, G. Intramuscular changes during long-term contraction, The ergonomics of working postures.
London, Taylor and Francis, 1986, .
136-143.
Reservados todos los derechos.
Se autoriza su reproducción sin ánimo de lucro citando la fuente: INSHT, nº NTP, año y título.
NIPO: 792-09-063-6