NTP 1184: Agentes químicos: evaluación cualitativa del riesgo químico por inhalación (IV). Método Stoffenmanager® (Parte 2)- Año 2023

Nota Técnica de Prevención 1.184

Título:

Agentes químicos: evaluación cualitativa del riesgo químico por inhalación (IV).
Método Stoffenmanager® (Parte 2)

Elaborado por: 

Ruth Jiménez Saavedra
Centro Nacional de Nuevas Tecnologías (INSST)
 
Rudolf van der Haar
MC Mutual/Asociación Española de Higiene Industrial
 
Carlota Alejandre Colomo
Cosanta B.V

 

Resumen: 

Se han elaborado un conjunto de NTPs dedicadas a la descripción de herramientas y métodos cualitativos para la gestión del riesgo químico. En particular, las NTP 872, 935, 936, 937, y la 1080 donde se describen el método cualitativo COSHH Essentials, el método basado en la metodología desarrollada por el INRS y la etapa de jerarquización de riesgos potenciales de dicha metodología. Esta es la continuación de la NTP 1.183 donde se presenta la herramienta Stoffenmanager®

 

NIPO: 118-20-027-6

Autor: Instituto Nacional de Seguridad y Salud en el Trabajo (INSST), O.A., M.P.

Contiene: 12 páginas

Descargar PDF (633,5 KB)

Contenido relacionado

Contenido del documento en formato texto

1. EXPOSICIÓN

En la figura 1 se presenta la estructura de la herramienta para la valoración de la exposición, que está basada en los trabajos realizados por Cherry y Schneider (1999) y Marquart et al (2008).
La exposición comienza con la existencia de varias fuentes de contaminación (próximas, lejanas y difusas) cuya emisión al aire queda determinada por la emisión intrínseca del producto (volatilidad en el caso de sustancias líquidas y pulverulencia en el caso de sustancias en estado sólido) y la tarea que se realiza con el agente químico. Tras la emisión, la herramienta considera las variables que tienen relevancia sobre la transmisión del contaminante por el aire hacia el trabajador: la presencia de medidas de control cerca de la fuente de contaminación y la ventilación general.
Para la inmisión, es decir, cuando el agente puede entrar en contacto con la persona trabajadora, la herramienta contempla el uso o no de equipos de protección respiratoria y la posible separación física entre el trabajador y el agente químico. 

A continuación, se detalla cada uno de estos tres procesos, emisión, transmisión e inmisión y los factores que influyen sobre cada uno de ellos.


 

El modelo de exposición desarrollado en la herramienta viene determinado por la siguiente ecuación:

En función de las necesidades del usuario se pueden hacer los cálculos considerando las variables que se crean pertinentes (por ejemplo, con uso o sin uso de equipo de protección respiratoria). El desglose de la ecuación sería el siguiente:


Con el fin de que la herramienta sea más entendible o manejable, los parámetros se han simplificado en la herramienta para facilitar su selección (ver diagrama de la herramienta en el anexo 1). A continuación, se describen estos parámetros relacionados con la emisión, la transmisión y la inmisión.


EMISIÓN

Fuentes de emisión

La herramienta contempla tres posibles fuentes de emisión: a) la fuente que se encuentra en el campo cercano del trabajador, es decir a una distancia de menos de 1 metro, b) la fuente se encuentra a distancias superiores de 1 metro al trabajador (campo lejano) y, c) la fuente está formada por emisiones difusas en el campo lejano como pueden ser derrames de máquinas y trapos contaminados. Entre las fuentes lejanas de emisión del contaminante estarían, por ejemplo, otros trabajadores que están realizando la misma tarea o la presencia de objetos recién tratados con el producto químico y que emanan vapores.

Emisión intrínseca

La capacidad del producto de pasar al ambiente, denominado emisión intrínseca (E), viene determinada por su volatilidad en el caso de los líquidos y por la pulverulencia en caso de los sólidos.
Para líquidos la emisión intrínseca (E) es un parámetro de volatilidad relativa definido por la ecuación:


Una sustancia o mezcla que tenga una presión de vapor de 30.000 Pa o superior, es decir, muy volátil, tendrá una emisión intrínseca (Ei) igual a 1, puesto que se evaporaría completamente en muy poco tiempo y prácticamente sólo estaría disponible en forma de gas. Las sustancias con presiones de vapor más bajas (< 30.000 Pa) se evaporan de forma relativamente más lenta y por lo tanto están menor disponibilidad para la inhalación. En el caso de las mezclas no siempre se dispone del valor de la presión de vapor de la propia mezcla o no aparece en la ficha de datos de seguridad.
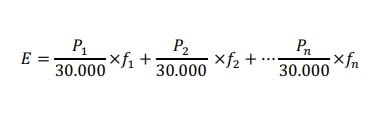
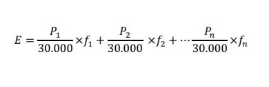
En ese caso, la herramienta puede estimar una emisión intrínseca “ponderada en porcentaje” del producto basándose en las presiones de vapor y el contenido en peso de cada una de las sustancias químicas dentro de la mezcla, según la siguiente ecuación:

Donde: Pn = la presión de vapor de la sustancia n y fn = la fracción de la sustancia n en el producto

 

 Para valorar la pulverulencia de un material sólido, el Stoffenmanager® determina 6 categorías a las que les asigna un valor en función del tipo de material (véase la tabla 1):

 

Tipo de tarea (“handling”)

Además de la volatilidad o pulverulencia del producto, la emisión de la sustancia al ambiente también viene determinada por las características del proceso o la tarea que se esté realizando. Por ejemplo, una pulverización de un líquido a alta presión generará una gran cantidad de aerosol y, por lo tanto, una exposición mayor que el trasvase del líquido entre recipientes. Para ello, Stoffenmanager® contempla varias categorías de procesos de manipulación tanto para líquidos como para sólidos.Cada una de estas categorías tiene asignada una puntuación (Pt) que incrementa (Pt>1), disminuye (Pt<1) o mantiene (Pt=1) la emisión intrínseca, según la cantidad de polvo o vapor que se genera. Los valores de Pt en función del proceso o la tarea que se llevan a cabo vienen establecidos en la tabla 2 para líquidos y en la tabla 3 para sólidos.



 


 

Transmisión: Medidas de control localizadas y ventilación La transmisión de un contaminante puede verse reducida mediante el uso de medidas de control localizadas en la fuente, y también mediante la ventilación general. El modelo asume que existen los mismos controles tanto para fuentes cercanas como lejanas. La puntuación según la medida de control local es la que aparece en la tabla 4:

 


 

La puntuación Pt para la ventilación general es diferente dependiendo de si se trata de fuentes cercanas o de fuentes lejanas. La ventilación general tiene un efecto de dilución y será más efectivo para las fuentes lejanas mientras que su efecto es limitado para las fuentes que se encuentran cercanas al trabajador. Las puntuaciones están relacionadas con el volumen de la sala y se basan en simulaciones realizadas por Cherrie y Schneider (1999) (véanse las tablas 5 para fuentes cercanas y la tabla 6 para fuentes lejanas):

 

 

Emisiones de fondo

En el entorno laboral es posible la existencia de fuentes difusas que pueden estar emitiendo contaminante, como se ha mencionado anteriormente. Algunos ejemplos de ello podrían ser una fuga en una máquina, trapos sucios dispersos por la zona de trabajo o equipos contaminados. Estas fuentes también llevan a exposiciones a pesar de ser de menor emisión. Estas fuentes se han considerado también en el algoritmo del Stoffenmanager® con la variable . E 𝐶𝐶"# l modelo asume esta variable mediante una relación directa con la emisión intrínseca del contaminante, es decir, un pequeño factor para sustancias poco volátiles y una aportación mayor para sustancias más volátiles. Se vincula también a la frecuencia o regularidad de inspección de la maquinaria y los procesos de limpieza. La puntuación que asigna el modelo de la herramienta se muestra en la tabla 7:


Cálculo de la puntuación de la exposición potencial La exposición potencial se calcula multiplicando la emisión intrínseca por las puntuaciones de las distintas variables. La ecuación sería la indicada anteriormente:
 

 

Modificación de la exposición potencial según la frecuencia, duración de la tarea e inmisión

Stoffenmanager® establece puntuaciones en función de la duración de la tarea y la frecuencia con la que se realiza (véanse tablas 8 y 9 respectivamente). Es evidente que la exposición difiere entre tareas que pueden durar tan solo unos minutos y aquellas que pueden durar toda la jornada laboral. De la misma forma, hay tareas que se realizan a diario y otras que no, por lo que el método otorga distintas puntuaciones según las distintas situaciones (ver tablas 8 y 9 respectivamente).


 

Además, se puede modificar la exposición atendiendo a la inmisión del contaminante, definida en la ecuación como P ƞ"##, y ƞ$%&. or ejemplo, se puede aislar al trabajador de la fuente situándolo en una sala de control la mayor parte del tiempo o también se puede considerar el uso de equipos de protección individual (equipo de protección respiratoria).

En la tabla 10 se pueden ver las puntuaciones que Stoffenmanager® emplea para la reducción de la inmisión del contaminante en el caso de la aplicación de alguna medida de control:


Stoffenmanager® también tiene en cuenta el uso de equipos de protección respiratoria a los que otorga una puntuación determinada según el tipo de equipo. Las puntuaciones están basadas en la norma EN-NEN 529:2005 (equivalente a UNE-EN 529/2006 Equipos de protección respiratoria. Recomendaciones para la selección, uso, cuidado y mantenimiento). Las puntuaciones de esta variable s (ƞ#$%) on información empresarial confidencial únicamente disponible para las autoridades y los investigadores (ver anexo 2 para consultar el listado de EPR considerados).

 

Cálculo de la puntuación final de exposición y banda de exposición

Finalmente, el modelo calcula la puntuación final de la exposición y la clasifica en una de las cuatro bandas que tiene establecidas. La puntuación final de la exposición potencial de la tarea evaluada se calcula multiplicando la puntuación de la exposición potencial por los factores de modificación de la inmisión, la duración y la frecuencia. A continuación, se presenta un ejemplo de Stoffenmanager®:


 

Considerando los factores de incertidumbre, propios del modelo en sí mismo, los límites entre las categorías y el peso dado a las mismas, se clasifica la puntuación final de la exposición en cuatro bandas (véase la tabla 11):


Siguiendo con el ejemplo 2, la puntuación final obtenida de la exposición de 1.155 conduce a la banda de exposición 4, de exposición muy alta.

 

2.ESTIMACIÓN DEL NIVEL DE RIESGO

Stoffenmanager ® permite entonces realizar una evaluación cualitativa del riesgo del producto para la vía inhalatoria. Para esta evaluación cualitativa se utiliza la combinación de la banda de peligro correspondiente, descritas anteriormente (NTP 1.183 Stoffenmanager Parte 1) y la banda de exposición obtenida tras el cálculo de la puntuación final de exposición potencial. Esta combinación se observa en la tabla 12:

 


Por tanto, recogiendo los datos de la tabla de bandas de peligro, tabla 2 (NTP Stoffenmanager Parte 1) y tabla 11 se obtienen los niveles de prioridad de acción (tabla 13):

La herramienta establece los niveles de riesgo I, II y III para priorizar las actividades preventivas de los diferentes escenarios de exposición evaluados. En función del resultado se modificarán las condiciones para cambiar las variables y reducir el nivel de riesgo hasta un nivel aceptable. Por ejemplo, incorporando un sistema de extracción localizada o un sistema cerrado si no lo hubiera, sustituyendo la sustancia por otra menos peligrosa o disminuyendo el tiempo de exposición, entre otras.

 


3.VENTAJAS Y LIMITACIONES

Stoffenmanager® es una herramienta sujeta a numerosos estudios de validación, que confirman su fiabilidad a la hora de usarlo.
Stoffenmanager® no es aplicable para gases, fibras, actividades de abrasión e impacto que no sean materiales de piedra o madera y para determinados procesos en caliente tales como soldadura (ver figura 2 en la NTP 1.183).

Como herramienta de gestión de riesgos químicos, Stoffenmanager® permite disponer de la información sobre producto y sustancias químicas, tareas y exposiciones de una manera organizada y sistematizada. Facilita la elaboración de fichas informativas, listados de sustancias de peligrosidad específica, compartir información con otros usuarios, disposición de Fichas de Datos de Seguridad, inventarios de sustancias, informes de valoración del riesgo por exposición por vía inhalatoria y vía dérmica, así como otro módulo adicional para las sustancias en tamaño nano o nanopartículas.
Stoffenmanager® ayuda a seleccionar, para aquellos resultados donde la exposición no esté controlada, las medidas de control disponibles que podrían reducir el nivel de exposición y por tanto el nivel de riesgo, pudiendo ser las medidas tanto técnicas como organizativas. Stoffenmanager® es una herramienta reconocida por varias autoridades nacionales e internacionales como herramienta válida para realizar la evaluación del riesgo químico. La herramienta está en continuo desarrollo, incorporando nuevas funcionalidades y mejorando sus algoritmos para la cuantificación de la exposición, entre otros. Para ello, se ha creado un comité científico internacional (ISAB en sus siglas en inglés).
El acceso a la herramienta está dividido en dos partes. La parte básica es gratuita y permite realizar la evaluación de riesgos y la cuantificación de la exposición para un número limitado de productos químicos y escenarios de exposición. Por otro lado, existen diferentes tipos de suscripciones con acceso a las diferentes funcionalidades según la necesidad y el número de productos químicos y escenarios de exposición que se quieran incorporar en la herramienta.
A pesar de haber sido confeccionada para su uso en la pequeña y mediana empresa y facilitar así la labor de gestión de sustancias químicas, la herramienta requiere cierta experiencia para ser usada e interpretada correctamente. Especialmente, se ha identificado como punto crítico, la selección de la tarea que se ajusta mejor al escenario de exposición a evaluar. Por ello se recomienda que antes de usar esta herramienta, se lean bien las instrucciones y, si es posible, se participe en los cursos de formación sobre el uso de Stoffenmanager®.

De la misma forma que ocurre con otras herramientas cualitativas, Stoffenmanager® permite sistematizar la información, emplearla en el diseño de procesos y ver cómo influirían distintas situaciones. También se puede utilizar en la etapa de caracterización básica de la norma UNE EN 689:2019+AC y emplearse como herramienta de formación e información a través de las fichas que elabora.


Agradecimientos a:

Henri Heussen

Hicham Zilaout

 


 


BIBLIOGRAFÍA

GESTIS: Information system on hazardous substances of the German Social Accident Insurance.

Arnone M, Koppisch D, Smola T, Gabriel S, Verbist K, Visser R. Hazard banding in compliance with the new Globally Harmonised System (GHS) for use in control banding tools. Regul Toxicol Pharmacol. 2015 Oct;73(1):287-95. doi: 10.1016/j.yrtph.2015.07.014. Epub 2015 Jul 21. PMID: 26206396.

Erik Tielemans, Thomas Schneider, Henk Goede, Martin Tischer, Nick Warren, Hans Kromhout, Martie Van Tongeren, Joop Van Hemmen, John W Cherrie, Conceptual Model for Assessment of Inhalation Exposure: Defining Modifying Factors, The Annals of Occupational Hygiene, Volume 52, Issue 7, October 2008, Pages 577–586, https://doi.org/10.1093/annhyg/men059

Marquart H, Heussen H, Le Feber M, Noy D, Tielemans E, Schinkel J, West J, Van Der Schaaf D. ‘Stoffenmanager’, a web-based control banding tool using an exposure process model. Ann Occup Hyg. 2008 Aug;52(6):429-41. doi: 10.1093/annhyg/men032. Epub 2008 Jun 27. PMID: 18587140.

John W. Cherrie, Thomas Schneider, Validation of a New Method for Structured Subjective Assessment of Past Concentrations, The Annals of Occupational Hygiene, Volume 43, Issue 4, May 1999, Pages 235–245, https://doi.org/10.1093/annhyg/43.4.235

Erik Tielemans, Dook Noy, Jody Schinkel, Henri Heussen, Doeke Van Der Schaaf, John West, Wouter Fransman, Stoffenmanager Exposure Model: Development of a Quantitative Algorithm, The Annals of Occupational Hygiene, Volume 52, Issue 6, August 2008, Pages 443–454, https://doi.org/10.1093/annhyg/men033

Cherrie, J. W., Fransman, W., Heussen, G. A. H., Koppisch, D., & Jensen, K. A. (2020). Exposure Models for REACH and Occupational Safety and Health Regulations. International Journal of Environmental Research and Public Health, 17(2), 383. https:// doi.org/10.3390/ijerph17020383