NTP 1159: Amianto: Determinación de fibras en aire. Volumen de muestreo - Año 2021

Notas Técnicas de Prevención 1.
159 AÑO 2021 Amianto: Determinación de fibras en aire.
Volumen de muestreo.
Asbestos: Determination of asbestos fiber in air.
Sampling volume.
Amiante: Analyses des fibres d’amiante dans l’air.
Volume d’échantillonnage.
Autor: Instituto Nacional de Seguridad y Salud en el Trabajo (INSST), O.A., M.P. Elaborado por: José María Rojo Aparicio Diana Torremocha García CENTRO NACIONAL DE VERIFICACIÓN DE MAQUINARIA. INSST Eduardo Menéndez Dizy INSTITUTO ASTURIANO DE PREVENCIÓN DE RIESGOS LABORALES (IAPRL) Mediante esta NTP se pretende destacar la influencia del volumen de muestreo en las mediciones de fibras de amianto en aire, aclarar conceptos esenciales para la toma de muestra y análisis (recuento) de fibras, proporcionar ejemplos de aplicación que ayuden a mejorar las estrategias de muestreo y, con todo ello, obtener mediciones fiables y representativas de la exposición.

NIPO: 118-20-027-6

Autor: Instituto Nacional de Seguridad y Salud en el Trabajo (INSST), O.A., M.P.

Contiene: 8 páginas

Descargar PDF (1,3 MB)

Contenido relacionado

Contenido del documento en formato texto

Notas Técnicas de Prevención 1.
159 AÑO 2021 Amianto: Determinación de fibras en aire.
Volumen de muestreo.
Asbestos: Determination of asbestos fiber in air.
Sampling volume.
Amiante: Analyses des fibres d’amiante dans l’air.
Volume d’échantillonnage.
Autor: Instituto Nacional de Seguridad y Salud en el Trabajo (INSST), O.A., M.P. Elaborado por: José María Rojo Aparicio Diana Torremocha García CENTRO NACIONAL DE VERIFICACIÓN DE MAQUINARIA. INSST Eduardo Menéndez Dizy INSTITUTO ASTURIANO DE PREVENCIÓN DE RIESGOS LABORALES (IAPRL) Mediante esta NTP se pretende destacar la influencia del volumen de muestreo en las mediciones de fibras de amianto en aire, aclarar conceptos esenciales para la toma de muestra y análisis (recuento) de fibras, proporcionar ejemplos de aplicación que ayuden a mejorar las estrategias de muestreo y, con todo ello, obtener mediciones fiables y representativas de la exposición.
Las NTP son guías de buenas prácticas.
Sus indicaciones no son obligatorias salvo que estén recogidas en una disposición normativa vigente.
A efectos de valorar la pertinencia de las recomendaciones contenidas en una NTP concreta es conveniente tener en cuenta su fecha de edición.
1.
INTRODUCCIÓN El artículo 5 del Real Decreto 396/2006 establece que, para todo tipo de actividad determinado, la evaluación de riesgos que determine la naturaleza y el grado de exposición de los trabajadores en los trabajos con amianto debe incluir la medición de la concentración de fibras de amianto en el aire del lugar de trabajo y su comparación con el valor límite establecido.
Las mediciones a las que hace referencia este artículo deben realizarse conforme al procedimiento para la toma de muestras y análisis (recuento de fibras) establecidos en su anexo I y, en base al mismo, se pueden dividir dichas mediciones en dos grupos en función de los objetivos de las mismas.
Por un lado, se encuentran las mediciones representativas de la exposición personal, que se utilizan principalmente para evaluar la exposición laboral al amianto, pero que también son útiles para disponer de criterios objetivos que permitan confirmar el correcto diseño y ejecución del procedimiento de trabajo y de la eficacia de las medidas de prevención y control empleadas, así como para verificar la selección adecuada del equipo de protección respiratoria elegido.
Por otro, si el objetivo es detectar la presencia de fibras de amianto en el aire en situaciones donde puedan ser posibles exposiciones de terceras personas, el Real Decreto 396/2006 contempla mediciones ambientales estáticas, no personales, conocidas también como en punto fijo, para el control del ambiente de trabajo y del índice de descontaminación, como indicadores de la eficacia de las medidas preventivas durante los trabajos y de la calidad del aire una vez finalizada la actuación sobre el material con amianto, respectivamente.
La metodología aplicada (toma de muestra y análisis) para determinar la concentración de fibras de amianto suspendidas en el aire del lugar de trabajo y el empleo de una estrategia de muestreo apropiada son fundamentales para asegurar la fiabilidad y representatividad de ambos tipos de mediciones, donde la adecuada aplicación del procedimiento de medida y la correcta interpretación de los resultados obtenidos son esenciales en la evaluación y control del ambiente de trabajo.
Para abordar este tipo de mediciones, el MTA/MA-051 “Determinación de fibras de amianto y otras fibras en aire.
Método del filtro de membrana/microscopía óptica de contraste de fases (método multifibra)”, publicado por el INSST de acuerdo con el método de la OMS de 1997, responde a las recomendaciones recogidas en la Directiva 2009/148/CE (directiva codificada sobre protección frente al amianto que no altera las obligaciones recogidas en la Directiva 2003/18/CE).
Además, en el documento CR02/2005 “Medida fiable de las concentraciones de fibras de amianto en aire.
Aplicación del método de toma de muestra y análisis MTA/MA-051”, del INSST, se recogen informaciones y explicaciones complementarias para mejorar el conocimiento de esta metodología y asegurar su correcta aplicación.
La revisión de datos de mediciones en numerosos planes de trabajo pone de manifiesto que no pueden considerarse suficientemente fiables atendiendo tanto a la aplicación del procedimiento de medida como a la estrategia de muestreo utilizada.
Es, por tanto, necesario explicar en detalle los aspectos del MTA/MA-051 relacionados con el intervalo de aplicación del método y el volumen mínimo de muestreo necesario para obtener muestras donde la cantidad recogida (densidad de fibras en el filtro) suponga la menor incertidumbre posible, considerando en todo momento la influencia que ambos factores tienen en la determinación de la concentración de fibras de amianto en el aire del lugar de trabajo.
El objetivo de esta NTP es mejorar la fiabilidad de las determinaciones de fibras de amianto en aire a partir de ejemplos que ayuden, a analistas y técnicos de prevención, a clarificar conceptos relativos a la medición (toma de muestra y análisis) de fibras de amianto en aire y a subrayar la importancia que, para la medida de la concen2 Notas Técnicas de Prevención tración de fibras en aire, tiene la relación existente entre el volumen de muestreo y el intervalo de aplicación del método, todo ello teniendo en cuenta que una muestra se considera adecuada si la cantidad de fibras en el filtro permite un recuento con una precisión conocida.
2.
MEDICIÓN DE FIBRAS DE AMIANTO EN AIRE. CONCEPTOS RELACIONADOS El método de la OMS “Determinación de la concentración de fibras suspendidas en aire.
Método basado en la microscopía óptica de contraste de fases” es el procedimiento más utilizado para la medida fiable de fibras de amianto en aire con el fin de evaluar la exposición o verificar la eficacia de los sistemas de control, por ser una metodología validada para obtener datos que determinan la concentración de fibras en aire y posibilitan resultados comparables cuando es adecuadamente utilizada por distintos analistas y laboratorios.
El fundamento del método consiste en obtener una muestra ambiental haciendo pasar un volumen conocido de aire a través de un filtro de membrana mediante una bomba de muestreo.
El filtro se transparenta posteriormente y las fibras depositadas en él se cuentan visualmente mediante un microscopio óptico de contraste de fases.
A partir de ese recuento se calcula la concentración de fibras en la muestra teniendo en cuenta el volumen de aire muestreado.
Al tratarse de una metodología donde la experiencia ha demostrado que su precisión es de las más bajas de entre las encontradas en la mayoría de métodos de evaluación cuantitativa de la exposición laboral a agentes químicos, se admite que las diferencias en los resultados expresados en forma de concentración de fibras se van a deber, sobre todo, a errores asociados a la toma de muestra y a errores analíticos afectados fundamentalmente por la subjetividad del recuento visual (analista).
El control de los errores analíticos se lleva a cabo mediante la implementación de procedimientos de ajuste y calibración del microscopio así como de controles de calidad de los resultados, internos y externos, requisitos todos ellos exigidos a los laboratorios acreditados para la determinación de fibras de amianto en aire (Real Decreto 396/2006, Anexo II).
Factores esenciales del análisis (recuento de fibras) La verificación de los blancos involucrados en las mediciones de fibras de amianto en aire (blanco de lote, blanco de laboratorio y blanco de muestreo) se utiliza para controlar posibles contaminaciones de los filtros tal como se suministran, así como durante la manipulación, el almacenamiento y el transporte.
El número máximo de fibras admitido en el análisis (recuento) de un filtro blanco es de 5 fibras en 100 campos, que se corresponde con el límite inferior de confianza de un recuento de 10 fibras, es decir, se trata del valor en número de fibras a partir del cual se podría diferenciar una muestra de un blanco.
En base a ello, el método de la OMS estableció, por consenso, el límite inferior de recuento (LIR) en un filtro en 10 fibras en 100 campos como valor por debajo del cual los resultados del recuento no son cuantificables ya que no puede concluirse que vayan a ser significativamente diferentes de un filtro blanco y, por tanto, no deben ser usados para cuantificar la concentración de fibras en el aire (véase MTA/MA-051).
La fórmula que recoge el método para determinar la cantidad de fibras en una muestra permite obtener, mediante la ecuación [1], un LIR expresado en número de fibras en filtro de aproximadamente 4.
900 fibras/filtro1.
Este valor debe determinarse en cada laboratorio ya que depende del área de recuento de la retícula usada así como de la superficie efectiva del filtro que proporciona el muestreador empleado: [1] donde A es la superficie efectiva del filtro (en mm²/filtro) y a el área de la retícula de recuento (en mm²/campo).
A partir de este valor, el límite de cuantificación del método (LC)2, expresado como concentración de fibras en aire (fibras/cm3), es función del volumen de aire muestreado tal y como se observa en la ecuación [2].
Esta ecuación se deduce de la proporcionada por el MTA/MA051 para la determinación de la concentración de fibras en aire, que se obtiene dividiendo el número de fibras en la muestra entre el volumen de aire muestreado: [2] donde V es el volumen de muestreo en litros.
La tabla 2 del MTA/MA-051 recoge una relación de distintos límites de cuantificación de la concentración de fibras en aire en función del volumen de muestreo.
En ella, por ejemplo, se puede estimar un LC del método de 0,1 fibras/cm3 o 0,01 fibras/cm3 siempre que el volumen de aire muestreado sea de unos 50 litros o unos 480 litros, respectivamente, y el laboratorio tenga establecido un LIR de aproximadamente 4.
900 fibras/filtro.
Por tanto, dependiendo del objetivo de la medición (personal o en punto fijo) y de la concentración estimada o requerida en cada caso, la estrategia de muestreo deberá prever un volumen mínimo de aire muestreado para que el LC, calculado según [2], sea lo suficientemente bajo para poder analizar la concentración prevista, ya que los resultados por debajo del límite inferior de recuento no son cuantificables y en el informe analítico deberían indicarse como “Filtro no apto para el recuento.
No es posible cuantificar.
Inferior a XXX”, donde XXX es el valor de LC calculado para el volumen de aire muestreado.
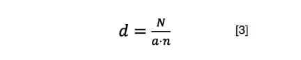
La cantidad de fibras recogidas en el filtro de muestreo se conoce como densidad de fibras en el filtro (d), y se calcula, en fibras/mm², mediante la ecuación [3]: [3] donde N es el número de fibras contadas y n el número de campos analizados.
Se trata de un concepto muy importante a tener en cuenta a la hora de realizar una adecuada estrategia de muestreo, ya que se ha demostrado que, cuanto menor es la densidad (cantidad) de fibras recogida, mayor es 1.
En todos los cálculos realizados para esta NTP se han utilizado los valores de A = 385 mm²; a = 0,00785 mm².
2.
El límite de cuantificación definido en esta NTP corresponde conceptualmente al límite de detección en aire recogido en el MTA/MA-051.
3 Notas Técnicas de Prevención la incertidumbre del resultado y, por tanto, el muestreo puede llegar a no ser suficientemente fiable (véase CR02/2005).
El criterio a considerar será, por tanto, tomar un volumen de aire suficiente para alcanzar una densidad de fibras en el filtro que permita, al menos, un recuento en la zona aceptable de análisis del MTA/MA-051.
Por el contrario, en caso de densidades muy altas, donde el exceso o el aglomerado de fibras y/o partículas interfieren en los campos de recuento, se dificulta el recuento y puede llegar a tener que considerarse la muestra como no apta para el análisis.
Según el MTA/MA-051, en estos casos, por ejemplo, debería expresarse dicha situación como “Filtro no apto para el recuento.
No es posible cuantificar.
Exceso de muestra”. Teniendo en cuenta los conceptos descritos y las características específicas de esta metodología, se ha establecido un intervalo de densidad óptimo que comprende desde 100 fibras/mm² a 650 fibras/mm², en el que el recuento se puede realizar, en principio, en las mejores condiciones analíticas (véase fig.
1).
A ambos extremos de este intervalo se encuentran las zonas conocidas Figura 1.
Intervalos de densidad de fibras en el filtro que afectan a las condiciones de precisión del resultado de una medición.
La densidad máxima admisible de fibras en los filtros blancos es de aproximadamente 6,4 fibras/mm2 (equivalente a 5 fibras en 100 campos).
como de densidad de fibras aceptable, que representan cantidades de fibras en el filtro superiores a 64 fibras/ mm² hasta densidades del orden de 1.
000 fibras/mm².
Por encima de este último valor de densidad, los resultados de los recuentos serán descartados como consecuencia del exceso de muestra, que impide el cumplimiento de las reglas de recuento y, por debajo del límite inferior del intervalo aceptable, la muestra representa una baja densidad de fibras en el filtro en la que la incertidumbre del recuento va aumentando a medida que disminuye el número de fibras contadas.
En las muestras ambientales con densidad de fibras menor de 64 fibras/mm², donde la variabilidad del recuento puede comprometer la fiabilidad analítica, es importante analizar el efecto del volumen de muestreo en la concentración resultante y valorar si dicho resultado puede considerarse representativo de la concentración ambiental.
Factores esenciales para la toma de muestras El volumen de muestreo es un parámetro imprescindible a tener en cuenta cuando se plantea una estrategia de muestreo para la medición de la concentración de fibras de amianto en aire ya que, en algunos casos, dependiendo del volumen de aire captado, el filtro puede no ser útil o válido para el recuento y no se podrá emitir un resultado que cumpla con los requisitos del método.
Normalmente, cuanto más volumen de aire pasa a través del filtro de muestreo, mayor va a ser la cantidad de fibras depositadas y, con ello, más fácil será alcanzar, por una parte, la zona de densidad de fibras en el filtro en la que el coeficiente de variación (CV) de los recuentos puede considerarse constante y, por otra, para muestreos en punto fijo sobre todo, un límite de cuantificación lo suficientemente bajo para cumplir con el objetivo de la medición (véase fig.
4).
Teniendo en cuenta las reglas de recuento del método, el CV se reduce considerablemente a partir de 50 fibras y valores de recuento superiores a 80 fibras alcanzan las condiciones óptimas de precisión de los recuentos (véase fig.
1, densidad de fibras en el filtro > 64 fibras/mm2).
Por tanto, para alcanzar el volumen de muestreo adecuado al objetivo de la medición, personal o en punto fijo, el caudal y la duración del muestreo deben conjugarse para que el filtro presente una densidad (cantidad) de fibras óptima o, al menos, aceptable para el recuento.
Esto requiere hacer una estimación previa de la posible concentración de fibras existente en el aire para lo que serán útiles los datos de mediciones anteriores, si se dispone de ellos, u otros de similares características, recurriendo, si fuera necesario, a bases de datos o fuentes de reconocido prestigio.
Como recoge la guía técnica del INSST, cuando no se disponga de datos orientativos se recomienda partir siempre de la hipótesis de que se va a superar el valor límite de 0,1 fibras/cm3 y mantener esta hipótesis hasta no disponer de datos de mediciones (propias) que justifiquen lo contrario.
Considerando asimismo que, en la mayoría de trabajos con amianto, la concentración ambiental de fibras de amianto va a ser variable a lo largo de la jornada, la representatividad de estas mediciones implica una duración total del muestreo lo más próxima posible a la duración de la jornada laboral.
Teniendo en cuenta además que en la mayoría de las actividades con amianto, si se utilizan procedimientos de trabajo seguros con las medidas preventivas adecuadas al tipo de actividad, la concentración ambiental puede ser relativamente baja, lo habitual debería ser muestrear un volumen de aire mínimo que garantice tanto la fiabilidad del recuento como la representatividad del muestreo.
En este sentido, el Real Decreto 396/2006 obliga a elegir el proce4 Notas Técnicas de Prevención dimiento de trabajo que genere la menor concentración de fibras posible, por lo que será necesario, en muchos casos, captar volúmenes de aire cada vez mayores para que la cantidad de fibras recogidas en el filtro se encuentre dentro de la zona óptima de recuento según el MTA/MA-051.
3.
CÁLCULO DEL VOLUMEN DE MUESTREO Para establecer el volumen de muestreo hay que partir de la concentración ambiental esperada en fibras/cm3 según la evaluación de riesgos del trabajo que se vaya a realizar.
Aplicando la ecuación [4] y considerando el intervalo de densidad, mínima y máxima, de fibras en el filtro que se pretende conseguir, se calculan dos volúmenes teóricos (Vteórico), en litros, uno para la densidad superior y otro para la densidad inferior.
[4] donde dmín.
/máx.
es la densidad de fibras en el filtro mínima y máxima deseable (en fibras/mm²), A es la superficie específica del filtro en mm2 y Cesperada es la concentración esperada en las condiciones específicas de trabajo (en fibras/cm3).
El intervalo de densidad deseable debe contemplar, en primer lugar, el rango de densidad óptimo (100 fibras/mm2 650 fibras/mm2) y, cuando sea previsible no poder alcanzar este objetivo por cuestiones asociadas a las condiciones de trabajo, este intervalo puede ampliarse a la zona de densidad aceptable (64 fibras/mm2 – 1.
000 fibras/mm2) (véase fig.
1).
El volumen de muestreo que se elija va a depender también de otros factores.
Así, en función de las bombas de muestreo disponibles y la pérdida de carga que soporten, el MTA/MA-051 permite emplear caudales de muestreo que pueden variar desde 0,5 l/min hasta 16 l/min.
Aunque este método recomienda, en general, un intervalo de caudal para muestreos personales, utilizar caudales por encima del valor superior del intervalo permite, al menos en teoría, reducir el límite inferior de la concentración de fibras en aire que sería posible medir con fiabilidad.
Como indica el CR02/2005, el intervalo de caudal con el que se trabaja en la práctica vendrá limitado por las características y requisitos de funcionamiento de la bomba y la resistencia del filtro de membrana al paso de aire, ya que está demostrado que la eficacia del muestreo no se ve afectada por el caudal.
Cuando se planteen mediciones ambientales estáticas en las que no es esperable encontrar fibras de amianto en el aire, el volumen mínimo de muestreo debería contribuir a reflejar el resultado de la concentración ambiental como inferior o superior a un valor de referencia (valor habitualmente concertado entre la empresa que contrata un trabajo con amianto y la empresa que elabora y ejecuta el correspondiente plan de trabajo), y expresarse con ese objetivo.
Por ejemplo: para un volumen de aire muestreado de 960 litros, el límite de cuantificación del método para ese volumen es 0,005 fibras/cm3.
En caso de que el resultado del recuento esté por debajo del límite inferior de recuento del MTA/MA-051, la concentración ambiental debería reportarse como < 0,005 fibras/cm3.
Ejemplos de aplicación En estos ejemplos, se va a mostrar cómo elegir el volumen de muestreo apropiado para determinar, con fiabilidad, la concentración de fibras en aire representativa del periodo muestreado.
No obstante, para diseñar una adecuada estrategia de muestreo con objeto de medición de la exposición laboral, es necesario considerar también el resto de elementos mencionados en esta NTP. Esta estrategia deberá ser diseñada por un técnico superior de prevención de riesgos laborales con la especialidad de higiene industrial y suficiente experiencia para integrar correctamente las variables que sean necesarias en la obtención de muestras fiables y representativas de fibras de amianto en aire.
Hay que tener en cuenta, asimismo, que si las mediciones se plantean para realizar la evaluación de la exposición de los trabajadores a fibras de amianto, y aunque no es el objeto de esta NTP, a partir de la concentración de fibras en aire obtenida se calculará la exposición diaria (ED) y se verificará su conformidad con el VLA-ED siguiendo una metodología cuantitativa reconocida como, por ejemplo, la recogida en la Norma UNE-EN 689.
SUPUESTO 1: Estrategia de muestreo en trabajos de retirada de cubiertas de fibrocemento operando por debajo de la misma.
Mediciones personales anteriores realizadas en trabajos similares (véase fig.
2) muestran que se genera una concentración media de fibras en aire del orden de 0,05 fibras/cm3.
Aplicando la ecuación [4], para obtener densidades de fibras en el filtro comprendidas entre 100 fibras/mm2 y 650 fibras/mm², el intervalo de volumen teórico en el que se debería muestrear para disponer de una cantidad (densidad de fibras en el filtro) óptima, para el MTA/MA-051, va de 770 litros a 5.
000 litros aproximadamente.
En este caso, como los muestreos tienen que ser personales, y considerando que la mejor estrategia será la que contemple una duración total del muestreo lo más próxima posible a la duración de la jornada laboral, se deberían muestrear las cuatro horas de exposición del trabajador (240 min).
La evaluación fiable y representativa de este puesto de trabajo, siguiendo los requisitos del MTA/MA051 y de la Norma UNE-EN 689, y alcanzar un volumen de aire adecuado para llegar a la zona óptima de recuento, supondría muestrear teóricamente a un caudal comprendido entre 3,2 l/min y 21 l/min, respectivamente.
Obviamente, caudales en la zona superior del intervalo no son válidos ya que el método no admite caudales tan altos (Q ≤ 16 l/min), Figura 2.
Trabajos de retirada de una cubierta de fibrocemento operando por debajo.
5 Notas Técnicas de Prevención ni los muestreos personales suelen requerir caudales de muestreo elevados, pero caudales superiores a 3,2 l/min son fácilmente alcanzables con las bombas de muestreo personal existentes en el mercado.
El siguiente paso es comprobar que las bombas disponibles soporten la pérdida de carga del muestreador al caudal elegido.
En esta situación, se ha decidido muestrear a 5 l/min, lo que supone un volumen de muestreo de 1.
200 litros, dentro del intervalo de volúmenes teóricos que, para esa estimación de la concentración, debería alcanzar una densidad óptima de fibras en el filtro.
El volumen de aire muestreado supone que, aplicando la ecuación [2], donde 4.
900 fibras/filtro es el LIR del laboratorio que realiza los recuentos, el LC de la muestra será de 0,004 fibras/cm3, valor de concentración ambiental unas 10 veces inferior a la concentración estimada pero a partir de la cual se puede cuantificar la muestra.
En caso de que el resultado del recuento esté por debajo del límite inferior de recuento (10 fibras en 100 campos), la concentración ambiental será reflejada como < 0,004 fibras/cm3.
SUPUESTO 2: Diseño de una estrategia de muestreo para realizar mediciones de evaluación de la exposición de un trabajador que va a realizar la retirada de paneles aislantes de fibrocemento mediante un procedimiento para el que no se dispone de mediciones representativas.
Para esta operación, la bibliografía3 estima, en base a un procedimiento similar al propuesto, una concentración ambiental del orden de 0,41 fibras/cm3.
En este caso, se ha reducido al mínimo la exposición y se han aplicado las medidas específicas establecidas en el artículo 10.
1 del Real Decreto 396/2006 para actividades en las que se supera el VLA-ED. Para esta concentración, el intervalo de volumen a elegir para conseguir muestreos fiables y representativos y alcanzar una densidad de fibras en el filtro óptima para un recuento preciso está, utilizando la ecuación [4], entre 94 litros y 610 litros.
En esta, como en el resto de situaciones posibles, puede ser necesario, por requisitos analíticos, calcular volúmenes de muestreo teóricos que contemplen la zona de densidad de fibras aceptable (de 64 fibras/mm2 hasta 1.
000 fibras/mm2), más amplia que la zona óptima de medición.
Para que los muestreos personales sean lo más representativos posible y puesto que la concentración de fibras variará previsiblemente a lo largo de la jornada, se debe medir todo el tiempo de exposición.
Considerando que el trabajador está expuesto 240 min, el intervalo de caudal teórico comprende entre 0,4 l/min y 2,5 l/min.
El intervalo de caudal admitido en el MTA-MA/051 es de 0,5 l/min a 16 l/min, por lo que, para cumplir esta condición, el caudal debe ser superior en todo caso a 0,5 l/min.
Al ser caudales bastante más bajos que en el supuesto 3.
Asbestos-containing Materials (ACMs) in Workplaces.
Practical Guidelines on ACM Management and Abatement (HSA, 2013).
anterior, la pérdida de carga aportada por el muestreador va a ser sensiblemente inferior, con lo que posiblemente, en este caso, no sea determinante en la elección de la bomba de muestreo.
Si se elige muestrear a 1 l/min, con un volumen teórico de 240 litros, la principal precaución será evitar la saturación de la muestra debido a una posible concentración elevada de fibras en el aire durante las operaciones de retirada.
En los casos en los que sea previsible esta situación, una buena estrategia de muestreo podría implicar muestreos consecutivos, donde el menor tiempo de muestreo de cada una de las muestras puede evitar la colmatación del filtro y facilitar su análisis (recuento).
Cada uno de los filtros que se recojan debería encontrarse dentro del intervalo de densidad de fibras en el filtro óptima, o en su defecto, aceptable.
Por ejemplo: se podría plantear una estrategia de muestreo en la que se tomen tres filtros a un caudal de 1 l/min durante 75, 75 y 90 min, que teóricamente supondrían densidades de 80 y 96 fibras/mm2, respectivamente, en los filtros.
Asimismo, para ese volumen, aplicando la ecuación [2], y como el laboratorio informa que el LIR es de 4.
900 fibras/filtro, el LC es de 0,020 fibras/cm3, suficiente para analizar satisfactoriamente las muestras de esa concentración con el MTA/MA-051.
SUPUESTO 3: Estrategia de muestreo en operaciones de retirada de calorifugados de amianto (considerado amianto friable).
Trabajo de retirada de 2 metros del calorifugado que recubre una tubería de conducción de fluidos calientes mediante cerramiento con extracción (véase fig.
3).
La duración prevista de esta tarea es de 100 minutos y la concentración ambiental media, para este tipo de actividad, es del orden de 0,2 fibras/cm3.
Figura 3.
Trabajos de retirada de amianto friable, calorifugado de tubería, utilizando cerramiento con extracción.
En esta situación, siguiendo criterios de la Norma UNE-EN 689 y considerando tanto el perfil como el periodo de exposición, este último se ha considerado desde el momento de entrada en la zona de trabajo hasta la descontaminación personal del trabajador.
Aplicando la propuesta de esta NTP, como en los supuestos anteriores, el intervalo de volumen de muestreo teórico para alcanzar la zona de densidad óptima, considerando una concentración ambiental de 0,2 6 Notas Técnicas de Prevención fibras/cm3, comprende, aproximadamente, entre 193 litros y 1.
250 litros, lo que supone caudales teóricos desde 1,9 l/min hasta 12,5 l/min.
El muestreo realizado a 3 l/min durante los 90 minutos que finalmente duró la tarea ha conducido a una densidad de fibras en el filtro de 105 fibras/mm2, zona de precisión constante donde el MTA/MA-051 garantiza la fiabilidad analítica.
Como se ha descrito en el supuesto 2, la estrategia de muestreo para esta situación y cualquier otra en la que sea posible la exposición a fibras de amianto, debe tener en cuenta otros condicionantes que afectan a los volúmenes y/o caudales de muestreo y evitar situaciones donde los resultados analíticos dificultan obtener mediciones de la concentración ambiental con una mínima fiabilidad.
SUPUESTO 4: Mediciones para comprobar que no hay fugas de fibras al exterior de un confinamiento durante la ejecución de los trabajos.
En este caso se trata de demostrar la ausencia de fibras, con lo que el volumen muestreado debe ser lo suficientemente alto como para garantizar que no hay fibras fuera del confinamiento.
Se debe buscar, por tanto, el LC más bajo posible.
En general, la recomendación es tomar el mayor volumen de aire posible que permita tanto el caudal de la bomba de muestreo como los condicionamientos de tiempo de muestreo que se pudieran tener.
Por ejemplo: un volumen de 960 litros supone un LC de 0,005 fibras/cm3, concentración claramente inferior respecto, por ejemplo, a 0,01 fibras/cm3 que suele utilizarse como indicador de la eficacia de las medidas preventivas o de la calidad del aire una vez finalizados los trabajos con amianto.
Una consideración a tener en cuenta en estas mediciones ambientales estáticas es que las bombas utilizadas para estos muestreos proporcionen caudales suficientemente altos.
Además, suele ser posible también muestrear sin condicionantes de tiempo de muestreo.
Todo ello supone obtener fácilmente volúmenes apropiados de muestreo para garantizar con fiabilidad la no presencia de fibras de amianto en áreas adyacentes a la zona de trabajo.
SUPUESTO 5: Mediciones realizadas en cumplimiento del artículo 11.
1b del Real Decreto 396/2006, incluidas en el plan de trabajo, para conocer la calidad del aire de una nave industrial y garantizar una reocupación segura, una vez finalizada la actuación de retirada de los materiales con amianto friables localizados en su interior, utilizando para ello mediciones del índice de descontaminación.
Caso similar al supuesto 4 ya que la concentración de fibras resultante debe ser nula o muy baja.
Un valor de referencia (índice de descontaminación) utilizado habitualmente para dar por descontaminada una zona o lugar de trabajo es conseguir concentraciones ambientales inferiores a 0,01 fibras/cm3.
Como el MTA/MA-051 propone un volumen mínimo de 480 l, recomendando que se tome el mayor volumen de aire posible, el criterio general a considerar es recoger el máximo volumen que permitan las condiciones en las que se realice el muestreo.
Para asegurarse de que la concentración es, como mínimo, inferior a 0,01 fibras/cm3, se puede utilizar este valor en la ecuación [4], aunque la concentración esperada debería ser 0 fibras/cm3.
En este caso, el intervalo de volumen a muestrear para alcanzar la zona óptima de densidad de fibras en el filtro (100 650 fibras/mm2), para que su análisis (recuento) sea fiable, estaría comprendido entre 3.
850 litros y 25.
000 litros, lo que garantiza una concentración ambiental menor a la utilizada como referencia.
Por ejemplo, suponiendo un muestreo de 360 minutos a 12 l/min, el volumen de aire muestreado es de 4.
320 litros y el LC resultante, aplicando [2], es 0,001 fibras/cm3, adecuado al objetivo de la medición.
4.
CONCLUSIONES Una buena estrategia de muestreo va a requerir, en función del objetivo de la medición, un planteamiento específico para cada situación o escenario de exposición, donde el técnico responsable de su diseño, cuando sean necesarias mediciones, debe asegurar la representatividad de la medición y determinar, a partir de la concentración ambiental de fibras de amianto esperada o estimada, el volumen de muestreo adecuado para obtener una muestra donde la cantidad de fibras (densidad) recogida en el filtro permita el análisis (recuento) con una precisión conocida y garantizar, de esa forma, la fiabilidad del resultado en base al procedimiento de medida utilizado (MTA/ MA-051).
La fiabilidad de los resultados de las determinaciones de fibras de amianto en aire se sustenta en la confianza de que las mediciones realizadas son adecuadas y representativas.
Es decir: las muestras obtenidas serán adecuadas si se ajustan al procedimiento de muestreo y cumplen los requisitos derivados del procedimiento analítico (conformes al MTA/MA-051), y la estrategia de muestreo (por ejemplo, la recogida en la Norma UNE-EN 689) determinará las condiciones y el tipo de muestreo (personal o en punto fijo) a realizar, su duración y el número de muestras necesario para asegurar la representatividad de la determinación.
En la fig.
4 se muestra un resumen con los pasos a seguir para obtener un volumen de muestreo adecuado al objetivo de la medición y gracias al cual se consiguen filtros aptos para el análisis (recuento) como parte importante del objetivo principal que es lograr mediciones fiables y representativas de la exposición a fibras de amianto en aire.
7 Notas Técnicas de Prevención Figura 4.
Esquema de actuación para determinar volúmenes de muestreo adecuados y obtener muestras fiables de fibras en aire.
BIBLIOGRAFÍA Real Decreto 396/2006, de 31 de marzo, por el que se establecen las disposiciones mínimas de seguridad y salud aplicables a los trabajos con riesgo de exposición al amianto.
Boletín Oficial del Estado, nº 86 (11-04-2006).
UNE-EN 689.
Exposición en el lugar de trabajo.
Medición de la exposición por inhalación de agentes químicos.
Estrategia para verificar la conformidad con los valores límite de exposición profesional.
Determinación de la concentración de fibras suspendidas en el aire.
Método basado en la microscopía óptica de contraste de fase (OMS, Ginebra, 1997).
8 Notas Técnicas de Prevención Asbestos-containing Materials (ACMs) in Workplaces.
Practical Guidelines on ACM Management and Abatement (HSA, 2013).
ED 809.
Exposition à l’amiante dans les travaux d’entretien et de maintenance.
Guide de prévention (INRS, 2010).
Base de datos Scol@amiante de mediciones de fibras de amianto mediante microscopía electrónica (INRS).
Disponible en: http://scolamiante.
inrs.
fr/amiante/Accueil?token=639C60F4 MENÉNDEZ DIZY, E. Fiabilidad para la medición de las fibras de amianto en aire.
Volumen de muestreo y revisión crítica de mediciones ambientales.
Asturias Prevención [en línea].
Instituto Asturiano de Prevención de Riesgos Laborales.
Junio 2009, nº14.
Disponible en: https://www.
iaprl.
org/images/contenidos/biblioteca-publicaciones-y-campanas/publicaciones/ revista-asturias-prevencion/asturias_prevencion_14_v2.
pdf Guía técnica para la evaluación y prevención de los riesgos relacionados con la exposición al amianto.
INSST. MTA/MA-051.
Determinación de fibras de amianto y otras fibras en aire.
Método del filtro de membrana/microscopía óptica de contraste de fases (Método multifibra).
INSST. CR-02/2005.
Medida fiable de las concentraciones de fibras de amianto en aire.
Aplicación del método de toma de muestras y análisis MTA/MA-051/A04.
(Método multifibra).
INSST. NTP 801: Amianto: fiabilidad de los resultados de las determinaciones de fibras en aire.
Requisitos.
INSST. Reservados todos los derechos.
Se autoriza su reproducción sin ánimo de lucro citando la fuente: INSST, nº NTP, año y título.
NIPO: 118-20-027-6