NTP 1211: Estadísticas de accidentabilidad en la empresa - Año 2024

Notas Técnicas de Prevención 1.211

Título:
Estadísticas de accidentabilidad en la empresa.

Elaborado por:
Sonia Mollar Bonilla.
Centro Nacional de Condiciones de Trabajo (INSST)
 
Nota:
La presente Nota Técnica de Prevención (NTP) sustituye a la NTP 1, a la NTP 2 y a la NTP 236, actualizando su contenido, en lo que se refiere a los índices estadísticos y a los métodos de control estadístico de los accidentes de trabajo.
 

NIPO: 118-20-027-6

Autor: Instituto Nacional de Seguridad y Salud en el Trabajo (INSST), O.A., M.P.

Contiene: 8 páginas

Descargar PDF (1,9 MB)

Contenido relacionado

Contenido del documento en formato texto

Las NTP son guías de buenas prácticas. Sus indicaciones no son obligatorias salvo que estén recogidas en una disposición normativa vigente. A efectos de valorar la pertinencia de las recomendaciones contenidas en una NTP concreta es conveniente tener en cuenta su fecha de edición.


1. INTRODUCCIÓN

El concepto de accidente de trabajo se define en el artículo 156 del Real Decreto Legislativo 8/2015, de 30 de octubre, por el que se aprueba el texto refundido de la Ley General de la Seguridad Social como “toda lesión corporal que el trabajador sufra con ocasión o por consecuencia del trabajo que ejecuta por cuenta ajena”. Este mismo artículo incluye diferentes situaciones en las que un accidente se considera de trabajo, entre ellos, los accidentes “in itinere”, que son los ocurridos al ir o volver del lugar del trabajo. También incluye las enfermedades que la persona contraiga con motivo de la realización de su trabajo, no incluidas en el cuadro de enfermedades profesionales aprobado por el Real Decreto 1299/2006, de 10 de noviembre, por el que se aprueba el cuadro de enfermedades profesionales en el sistema de la Seguridad Social y se establecen criterios para su notificación y registro.

Disponer de una descripción exhaustiva del accidente de trabajo permite que su notificación e investigación sean adecuadas.
Para facilitar la notificación y que la información obtenida del suceso pueda ser de utilidad, se ha establecido un modelo de parte de accidente de trabajo donde se recoge lo siguiente: datos de empresa, centro de trabajo, persona accidentada, descripción del accidente, lesiones, etc.
Los datos que debe recoger este parte se fijan en la Orden TAS/2926/2002, de 19 de noviembre, por la que se establecen nuevos modelos para la notificación de los accidentes de trabajo y se posibilita su transmisión por procedimiento electrónico.

La investigación del accidente debe iniciarse cuanto antes con el objetivo de conocer el desarrollo de los acontecimientos, determinar qué y por qué ha sucedido, así como los factores que directa e indirectamente, han influido en su materialización, y, de esta forma, poder proponer medidas correctoras pertinentes encaminadas a evitar su repetición futura.

Por otro lado, mediante la realización de un análisis estadístico de la siniestralidad laboral, se pueden obtener conclusiones sobre su evolución global en la empresa, realizar comparaciones entre determinadas áreas o procesos, comparar los datos a nivel sectorial, por zona geográfica, etc.
y obtener información de interés en función de las características de los accidentes de trabajo ocurridos.

La información obtenida del análisis estadístico permite una mejor toma de decisiones en lo referente al establecimiento de métodos de trabajo y medidas de seguridad más adecuados, a la adopción de acciones que ayuden a reducir el número de futuros accidentes con características determinadas, así como a crear campañas de sensibilización centradas en la causa o en factores concretos del accidente, mejorando así su efectividad.

Con el fin de obtener valores comparables de la siniestralidad, se emplean unos índices que se calculan siguiendo unos criterios determinados que garantizan dicha comparabilidad.

Es importante señalar que la gestión de la accidentabilidad no se limita solo a la interpretación de estos índices, sino que también requiere el análisis de otras variables, como son: la gravedad de la lesión, la forma del accidente, el agente material, la naturaleza y zona de la lesión y el análisis de pérdidas (ver NTP 593).

 

2. ÍNDICES ESTADÍSTICOS

La contabilización de los accidentes de trabajo en números absolutos nos permite conocer el alcance de lo ocurrido, pero no aporta información más allá de la magnitud numérica del fenómeno. Para conocer otros datos como el grado de exposición, la frecuencia o la probabilidad de que ocurran los accidentes es necesario obtener los denominados “índices estadísticos”.

Un índice es la expresión numérica de la relación entre dos cantidades.

En el ámbito de la siniestralidad, los índices estadísticos manifiestan lo accidentada que está la población trabajadora en un periodo de tiempo determinado. También, la gravedad de los accidentes ocurridos, en función del tiempo de recuperación del personal afectado.

Los índices estadísticos se caracterizan por:

  • Marcar tendencias y exponer la evolución de la siniestralidad.
  • Proporcionar información para marcar objetivos de reducción de la siniestralidad y para establecer indicadores, con la finalidad de obtener una mejora de las condiciones de trabajo.
  • Permitir la comparación de la accidentabilidad entre diferentes periodos de tiempo en una misma empresa, entre diferentes empresas, entre diferentes actividades u ocupaciones, etc.
  • Permitir la comparación con los índices oficiales por sectores. En este sentido, las estadísticas oficiales ofrecen datos globales de accidentes de trabajo y también de los índices de accidentes de trabajo con baja en jornada, “in itinere”, por sector de actividad, por comunidad autónoma, por provincia, etc.

Es importante tener en cuenta que, al comparar índices entre diferentes empresas o países, se debe prestar atención a los criterios utilizados en su cálculo, que podrían ser diferentes y, por tanto, la comparación no proporcionaría información válida.

Se recomienda el cálculo de los índices en secciones o ámbitos de trabajo homogéneos, es decir, trabajos en los que se esté expuesto a los mismos riesgos o similares. De esta forma, se podría determinar qué ámbitos de trabajo tienen una mayor siniestralidad e implantar medidas más concretas, como, por ejemplo, diferenciar entre el personal de oficina y el personal en fábrica, expuestos a distintos riesgos, pero empleados dentro de la misma empresa.

Siguiendo los criterios del informe metodológico estandarizado, elaborado por la Subdirección General de Estadística y Análisis Sociolaboral del Ministerio de Trabajo y Economía Social, se exponen los siguientes índices estadísticos: el índice de incidencia, de frecuencia, de gravedad y la duración media de las bajas.

 

Índice de incidencia (II)

El índice de incidencia relaciona el número de accidentes de trabajo ocurridos con el número de personas trabajadoras expuestas al riesgo (Ecuación 1). Representa el número de accidentes ocurridos por cada cien mil personas trabajadoras expuestas y puede utilizarse cuando no se dispone de información sobre el número de horas-persona trabajadas. Este índice puede calcularse para los accidentes con baja, para los sin baja y para los accidentes mortales (Ecuación 2). Un accidente de trabajo mortal es el que ocasiona la muerte de la persona trabajadora accidentada en el plazo de un año desde la fecha del accidente. Esto da lugar a que un accidente que inicialmente se calificó como grave (o incluso leve) sea recalificado como mortal si la persona trabajadora fallece como consecuencia de este.

Ecuación 1. Expresión para el cálculo del índice de incidencia.

Ecuación 2. Expresión para el cálculo del índice de incidencia de accidentes mortales.

 

El concepto de afiliados/as a la Seguridad Social con la contingencia de accidentes de trabajo específicamente cubierta corresponde al número de personas trabajadoras expuestas al riesgo que, generalmente, se determina obteniendo la media de la plantilla en un periodo de tiempo.

 

Índice de frecuencia (IF)

El índice de frecuencia relaciona el número de accidentes de trabajo con el número total de horas trabajadas por el colectivo de personas trabajadoras expuestas al riesgo (Ecuación 3). Representa el número de accidentes ocurridos por cada millón de horas trabajadas y, en el caso de accidentes mortales, por cada 100 millones de horas trabajadas.

El cálculo de este índice, además de permitir la comparación entre datos de diferentes empresas o administraciones públicas, sectores o áreas geográficas, aporta información para la valoración del riesgo de que ocurra el accidente. Se podría decir que aporta información más precisa que el índice de incidencia. Existe una expresión matemática específica para los accidentes mortales (Ecuación 4).

Ecuación 3. Expresión para el cálculo del índice de frecuencia.

Ecuación 4. Expresión para el cálculo del índice de frecuencia de accidentes mortales.

 

Para el cálculo del número de horas efectivamente trabajadas, uno de los criterios que podría tomarse es el que sigue, a efectos estadísticos, el Instituto Nacional de Estadística (INE). El INE define como “horas de trabajo efectivas” aquellas que incluyen:

  • Las horas trabajadas durante el tiempo de trabajo.
  • El tiempo empleado en el lugar de trabajo esperando o permaneciendo disponible.
  • Los períodos de descanso en el centro de trabajo, incluidas las pausas para las comidas inferiores a una hora.

Así mismo, no incluye en el concepto:

  • Las vacaciones.
  • Los días festivos.
  • Las ausencias por enfermedad y otros motivos pagados.
  • El tiempo no trabajado por estar afectado por una regulación de empleo.
  • El tiempo invertido en desplazamientos al o desde el lugar de trabajo.
  • Las pausas para las comidas superiores a una hora.

Es interesante, a efectos preventivos, calcular tanto el IF de los accidentes con baja como el IF que engloba ambos tipos de accidente, con y sin baja.

 

Índice de gravedad (IG)

El índice de gravedad (Ecuación 5) relaciona el número de días de ausencia en el trabajo como consecuencia de los accidentes de trabajo con el tiempo trabajado por las personas expuestas al riesgo. Representa el número de días de baja por cada mil horas trabajadas.

Ecuación 5. Expresión para el cálculo del índice de gravedad.

De acuerdo con el informe metodológico estandarizado, indicado anteriormente, los días de duración de las bajas son los días naturales que la persona trabajadora accidentada permanece en situación de incapacidad temporal. Los días se contabilizan desde la fecha de baja hasta la fecha de alta, ambos días inclusive, pertenecientes al periodo de baja inicial, de forma que se excluyen en el cómputo total los días de baja debidos a recaídas posteriores. El concepto de “días de duración de las bajas” sustituye al de “jornadas no trabajadas” empleado por el Ministerio de Trabajo y Economía Social y reflejado en su informe metodológico hasta 2015.

Respecto al número total de horas efectivamente trabajadas, se aplica lo descrito en el apartado del IF.

 

Duración media de las bajas

Este indicador relaciona el número de días de baja como consecuencia de los accidentes de trabajo con el número de accidentes de trabajo ocurridos (Ecuación 6). Permite cuantificar el tiempo medio de duración de la baja por accidente.

Ecuación 6. Expresión para el cálculo de la duración media de las bajas.
 

Respecto al número de días de las bajas, se aplica lo descrito en el apartado del IG.

 

3. MÉTODO DE LAS LÍNEAS LÍMITE

El método de las líneas límite se utiliza para controlar la evolución de la siniestralidad a corto y largo plazo mediante el uso de gráficos.
En esta NTP, se tratan, concretamente, el diagrama de IF mes a mes y el diagrama de IF anual acumulado.

Este método de control estadístico consiste en el cálculo de unos valores (límite superior, LS, y límite inferior, LI) que delimitan un intervalo de valores aceptables, con un nivel de confianza determinado, en función del número de horas trabajadas y del IF esperado, y en la posterior comparación de dichos límites con los IF. El IF esperado es un valor previamente fijado por la empresa o administración pública que podrá ser o bien el mismo del año anterior, o bien un valor inferior fundamentado en una política de objetivos de prevención de riesgos laborales buscando reducir los accidentes de trabajo.

El método permite detectar, a través de la evolución del IF, si los cambios experimentados son debidos a una fluctuación aleatoria o a la entrada de un nuevo factor que ha podido modificar las condiciones de trabajo.

Para la aplicación de este método, se consideran tres casos:

  • Caso 1. Si, en el periodo considerado, el número de horas trabajadas (N) es inferior a 10.000, no es aplicable este método, debiéndose acumular las horas de dos o más meses consecutivos para poder aplicarlo, es decir, en lugar de emplear IF mensuales, se realizará una comparación, por ejemplo, bimestral o trimestral.
  • Caso 2. Si, en el período considerado, N es superior a 10.000 pero inferior a 1.200.000, los accidentes de trabajo siguen la distribución de Poisson. Esto es porque las propiedades estadísticas de los accidentes de trabajo se ajustan a esta distribución.
  • Caso 3. Si, en el período considerado, N es superior a 1.200.000, es decir, N toma valores altos, la distribución de los accidentes de trabajo, que siguen la Ley Poisson, se asemeja a la Normal. Por ello, en este caso, el método se aplica siguiendo la distribución Normal.

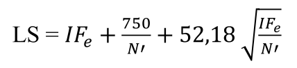
Existe una ecuación matemática para el cálculo de los valores de los límites, superior (Ecuación 7) e inferior (Ecuación 8), considerando un intervalo de confianza del 90%, cuando N es un valor elevado, caso 3 (distribución normal).

Ecuación 7. Ecuación para el cálculo del valor del límite superior.

Siendo,

IFe = índice de frecuencia esperado.

𝑁𝑁 N’ = número de horas trabajadas dividido por 1.000, N’ = 1000.

Esta división tiene como objetivo simplificar la ecuación resultante.

Ecuación 8. Ecuación para el cálculo del valor del límite inferior.

En caso de que el número de horas trabajadas, N, sea un valor entre 10.000 y 1.200.000, caso 2, la ecuación matemática anterior (distribución Normal) se modifica mediante una aproximación empírica que la asemeja a la distribución de Poisson (Ecuación 9 y Ecuación 10):

Ecuación 9. Ecuación para el cálculo del valor límite superior.

 

Ecuación 10. Ecuación para el cálculo del valor límite inferior.


Estas ecuaciones (Ecuación 9 y Ecuación 10) pueden utilizarse, además, para cualquier número de horas, ya que, al incrementar N, el término 750 tiende a hacerse desprecia𝑁𝑁′ ble, asemejándose de nuevo a las expresiones que siguen la distribución Normal (Ecuación 7 y Ecuación 8).

Para una mejor comprensión, se expone el siguiente caso práctico. Cabe indicar que los datos empleados en el caso no provienen de una fuente real y se han seleccionado únicamente con el objeto de realizar este ejercicio, de forma que sirva de apoyo en la explicación de los diferentes conceptos.

Por otro lado, para la elaboración de los diferentes diagramas, se ha empleado la herramienta informática “Accidentes de trabajo.
Control estadístico” elaborada por el INSST, que permite realizar el control estadístico de la siniestralidad mediante los diagramas de IF mes a mes, el anual acumulado y una comparativa con el año anterior, así como el cálculo de los índices de incidencia, de frecuencia, sus versiones para accidentes mortales, el de gravedad y la duración media de las bajas.

En la tabla 1, se muestran los datos sobre la accidentabilidad registrada en una empresa ficticia durante un año. El IF esperado para el periodo de estudio, en función de los resultados del año anterior, se ha determinado en 50.

Tabla 1. Datos sobre la accidentabilidad de una empresa ficticia en el periodo de un año natural.

Para el ejemplo práctico que se plantea, el número de horas trabajadas totales es 329.080, por lo tanto, será de aplicación el caso 2. Las expresiones matemáticas que se emplearán para obtener los valores de los límites (LS y LI) que definirán las líneas límite en cada uno de los diagramas se muestran en las ecuaciones 9 y 10.

 

Diagrama de índices de frecuencia mes a mes

Este diagrama permite identificar las fluctuaciones a corto plazo del IF y establecer la significación de un aumento repentino. Al comparar el IF de cada mes por separado, es posible detectar aquellos meses en los que ha habido un pico de siniestralidad y, así, analizar las condiciones de trabajo en ese periodo de tiempo. Esto nos proporciona información más precisa para el análisis de las causas básicas de los accidentes de trabajo.

Consiste en un gráfico en el que se representan los IF calculados para cada mes (Ecuación 3), para un número determinado de meses, así como los valores de los límites, LS y LI, correspondientes.

En el gráfico, se dibujarán 6 líneas límite (Figura 1) que se corresponden con los valores de los límites superior e inferior para 3 meses consecutivos.
Para su cálculo, se considerará lo siguiente:

  • Para el cálculo de los valores de los dos primeros límites, LS1 y LI1, se emplearán las horas trabajadas del primer mes del periodo de estudio.
  • Para el cálculo de los valores de los dos segundos límites, LS2 y LI2, se emplearán las horas trabajas acu5 Notas Técnicas de Prevención muladas del primer mes más las del mes consecutivo, en total 2 meses.
  • Para el cálculo de los valores de los dos terceros límites, LS3 y LI3, se emplearán las horas trabajadas acumuladas de los dos primeros meses más las del mes consecutivo, en total 3 meses.

En el caso de tener que aproximar el número de horas trabajadas, se recomienda aproximar la cifra hacia arriba, en beneficio de la seguridad, puesto que los valores de los límites que se obtendrán serán ligeramente más estrictos.

Los límites obtenidos al inicio del análisis tendrán validez para todo el periodo de estudio siempre que no varíe de un modo significativo el número de horas trabajadas por mes, ni cambie el IF esperado.

Siguiendo con el caso de la tabla 1, se obtendrán los siguientes resultados:

Para el primer mes, enero, horas trabajadas de enero 24.480 (N):

Límite superior, LS1: 155,21.
Límite inferior, LI1: 6,06.

Para el primer y segundo mes, enero y febrero, horas trabajadas acumuladas 52.600 (N):

Límite superior, LS2: 115,13.
Límite inferior, LI2: 13,38.

Para el primer, segundo y tercer mes, enero, febrero y marzo, horas trabajadas acumuladas 86.640 (N):

Límite superior, LS3: 98,3.
Límite inferior, LI3: 19,02.

Para la elaboración del diagrama (Figura 1), se pueden seguir los siguientes pasos:

  • 1º Dibujar el gráfico ubicando los valores de los IF en el eje de ordenadas y los meses en el de abscisas.
  • 2º Representar en el gráfico el IF esperado mediante una línea recta paralela al eje de abscisas.
  • 3º Representar los valores de los límites superior e inferior, es decir, 6 líneas rectas paralelas al eje de abscisas a diferentes alturas del eje de ordenadas.
  • 4º Representar, mediante puntos, los IF de los meses que formen el periodo de estudio.

 

Figura 1. Representación de las líneas límite del diagrama de índices de frecuencia mes a mes. Caso práctico. Fuente: Herramientas para la prevención. Accidentes de trabajo. Control estadístico.INSST.
 

Una vez representado el diagrama, se puede concluir, con un intervalo de confianza del 90%, que las condiciones de seguridad han experimentado una variación significativa si:

  • El IF de un solo mes se ubica más allá de las líneas que marcan los valores de los límites LS1 y LI1.
  • Los IF de 2 meses consecutivos se ubican más allá de las líneas que marcan los valores de los límites LS2 y LI2.
  • Los IF de 3 meses consecutivos se ubican más allá de las líneas que marcan los valores de los límites LS3 y LI3.

Siguiendo con el caso práctico, el diagrama resultante se muestra en la figura 1, donde se observa que el IF del mes de enero está por encima del límite LS1. Esto puede interpretarse como que sería necesario revisar las condiciones de trabajo y adoptar las medidas correctoras adecuadas.

Si la situación no mejorase, será difícil alcanzar el IF esperado. En el mes de febrero, la situación ha mejorado hasta un nivel aceptable al situarse al menos uno de los valores de dos meses consecutivos, en este caso, enero y febrero, por debajo de la línea LS2.

En el mes de marzo se observa que la accidentabilidad continúa bajando, acercándose el IF mensual al valor del IF esperado.
La situación se considera aceptable al situarse al menos uno de los valores de los IF de tres meses consecutivos, en este caso, enero, febrero y marzo, por debajo de la línea LS3.

El resto de los IF mensuales se encuentran dentro de los límites fijados, es decir, se cumplen las previsiones estadísticas y por tanto existe la posibilidad de alcanzar los objetivos previstos. En los meses de octubre y noviembre, se supera el LS3, pero se mantienen por debajo de los LS1 y LS2, por lo que no se cumple la condición de que 3 meses consecutivos se ubiquen más allá del LS3. En diciembre la situación se recupera ya que el IF vuelve a ubicarse dentro de los límites.

Por lo tanto, se consideraría que la evolución de la siniestralidad es favorable respecto a los objetivos fijados y no sería necesaria, de forma urgente e inmediata, la adopción de medidas preventivas. Sin embargo, a medio plazo, sería necesario el estudio de las condiciones de trabajo y las actuaciones correspondientes de forma que se consiga una siniestralidad nula.

Como se ha indicado anteriormente, mediante este diagrama, se pueden identificar las alzas significativas de los IF. Podemos observar, en el caso que nos concierne, que existen incrementos significativos de la accidentabilidad en los meses de mayo, septiembre y octubre, respecto a los meses de abril, agosto y septiembre, respectivamente, y también se observan descensos significativos en los meses de abril, agosto y diciembre, respecto a los meses de marzo, julio y noviembre, respectivamente. Sería interesante, el estudio de las condiciones de trabajo durante estos meses para determinar el motivo de estas variaciones.

También podemos observar que, aunque los valores de los índices se encuentran, en su mayoría, dentro de los límites fijados, existen fluctuaciones alrededor del IF esperado. Esto podría ser bastante significativo e indicar que existe un nuevo factor no identificado que está alterando de manera estable las condiciones de trabajo y no permite que la situación mejore a pesar de la aplicación de medidas preventivas.

Por ello es recomendable realizar el estudio de los IF acumulados en el periodo de un año.

Diagrama de índices de frecuencia anual acumulado

El análisis de la siniestralidad a corto plazo puede, en ocasiones, no ser concluyente y necesitar un estudio a largo plazo.

El diagrama de IF anual acumulado permite el control estadístico a largo plazo mostrando la tendencia al alza o a la baja de la siniestralidad y detectando si una situación precisa de una nueva acción correctora, al salirse el IF del campo de lo esperado.El diagrama también permite el control de la efectividad de las acciones preventivas implantadas.

Asimismo, permite la comparación con las cifras globales del sector que proporciona el Ministerio de Trabajo y Economía social, lo que aporta información, en relación con otras empresas y administraciones públicas, sobre la situación preventiva de la empresa.

El diagrama consiste en la representación, en un gráfico, de los IF mensuales acumulados (Ecuación 11) para 12 meses y los valores de los límites LS y LI correspondientes.

El IF acumulado se calcula tomando como datos la suma del número total de horas efectivamente trabajadas (HT) y la suma de los accidentes de trabajo ocurridos (AT), ambos desde el mes de inicio hasta el mes presente.

Ecuación 11. Expresión para el cálculo del índice de frecuencia acumulado.
 

El cálculo de los valores de los límites sigue el mismo proceso que el del diagrama de IF mes a mes, empleando las horas trabajadas acumuladas, hasta alcanzar los 12 meses. En este caso, la forma de representación de los límites es diferente. Mientras que para el diagrama mes a mes, los límites se dibujan mediante una línea recta a la altura del valor del límite obtenido, en el anual acumulado, se representan los valores de los límites de cada mes mediante puntos que se unirán formando las dos líneas límite, el LS y el LI, que delimitarán el campo de lo esperado para un intervalo de confianza del 90% (Figura 2).

En la tabla 2, se muestran los valores de los límites superior e inferior calculados utilizando los datos del ejemplo práctico (Tabla 1) y las expresiones de las ecuaciones 9 y 10.

Tabla 2. Valores de los límites superior e inferior para el diagrama de IF anual acumulado.


Para la elaboración del diagrama (Figura 2), se pueden seguir los siguientes pasos:

  • 1º Dibujar el gráfico ubicando los valores de los IF acumulados en el eje de ordenadas y los meses en el de abscisas.
  • 2º Representar en el gráfico el IF esperado mediante una línea recta paralela al eje de abscisas.
  • 3º Representar los valores de los límites superior e inferior de cada uno de los 12 meses.
  • Los valores de los limites se representarán en forma de punto en el gráfico y se trazará sobre ellos las dos líneas límite superior (LS) e inferior (LI).
  • 4º Representar los IF acumulados (Ecuación 11) para cada mes mediante puntos y trazar sobre ellos una línea continua.

 

Figura 2. Representación de las líneas límite del diagrama de índices de frecuencia anual acumulado. Caso práctico. Fuente: Herramientas para la prevención. Accidentes de trabajo. Control estadístico. INSST.
 

Si los IF acumulados se encuentran por encima de la línea límite superior, se puede entender que un nuevo factor está modificando las condiciones de trabajo en la organización o que las medidas preventivas implantadas no han sido eficaces. Por otro lado, si los IF acumulados se encuentran dentro de las líneas límite, alrededor del IF esperado, sus fluctuaciones pueden ser debido a una situación circunstancial.

Siguiendo con el caso práctico, el diagrama resultante se observa en la figura 2. Analizando el diagrama observamos que la situación es muy desfavorable los primeros 3 meses (valores por encima del LS), mejora en el mes de abril, vuelve a ser desfavorable los tres siguientes meses, mejorando en agosto y septiembre y terminando el año por encima del LS de nuevo.

Ello, bajo un punto de vista estadístico, permite decir que, con un intervalo de confianza del 90%, el IF obtenido en este año está, generalmente, por encima del LS calculado para el IF esperado establecido al principio del año a pesar de que el análisis a corto plazo (diagrama mes a mes) sólo nos indicaba una situación anómala en enero que mejoraba en febrero y marzo, manteniéndose durante el resto del año dentro de los márgenes.

En el caso de haber adoptado medidas en los primeros meses de enero para subsanar la situación, se observa que estas medidas no han sido suficientes para restablecer la situación a unos niveles adecuados, es decir, por debajo del LS o, incluso, igual o menor que IF esperado.

Vemos, entonces, que efectuar exclusivamente un análisis estadístico a corto plazo nos puede conducir al equívoco y que el hecho de mantener de una manera casi constante nuestro IF mensual podría indicar la introducción de un nuevo factor que altere de una manera estable nuestras condiciones de trabajo, aunque el diagrama mes a mes no refleje esta situación.

La utilidad del diagrama acumulado está, precisamente, en la indicación de los momentos clave en que se precisa una acción correctora, al salirse el IF del campo de lo esperado. Ello ha sucedido, en el caso analizado, en los meses de enero a marzo, mayo, junio y de octubre a diciembre, inclusive.

 

Comparativa con el año anterior

Una posible utilización del diagrama de IF anual acumulado es la comparativa de los datos del periodo anterior con la situación en el presente, de forma que se pueda comprobar la eficacia de las actividades preventivas emprendidas por la empresa encaminadas a la eliminación o reducción de los riesgos laborales.

Para la elaboración de este gráfico comparativo, se determinan los siguientes valores:

  • El índice de frecuencia del año anterior (IFa). Se calcularán los valores de los límites superior e inferior (Ecuación 9 y Ecuación 10) empleando las horas trabajadas durante el año anterior y tomando como valor del IF esperado el valor del IFa.
  • El índice de frecuencia esperado (IFe) para el año en curso, que será inferior al anterior, teniendo en cuenta las actividades preventivas programadas sobre las que se esperan unos resultados que incidan en la reducción de los accidentes.  Se calcularán los valores de los límites superior e inferior (Ecuación 9 y Ecuación 10) empleando las horas trabajadas durante el año presente.

Las líneas limites se dibujarán siguiendo el mismo método que el utilizado en el diagrama de IF anual acumulado, para cado uno de los dos periodos de tiempo.

Toda esta información delimitará una serie de zonas en el gráfico y, en función de la ubicación de los diferentes IF acumulados que se vayan calculando para cada mes que acontezca, irá aportando una información u otra (Figura 3). Las zonas serán:

  • Situación muy deficiente: más desfavorable que el año anterior (difícilmente se alcanzarán los objetivos previstos).
  • Situación deficiente: fuera de las previsiones del programa anual, pero no peor que el año anterior (escasa probabilidad de alcanzar los objetivos previstos).
  • Situación de alerta: ligeramente por encima de lo esperado, pero estadísticamente dentro de lo previsto (posibilidad de alcanzar los objetivos previstos).
  • Situación aceptable: ligeramente por debajo de lo esperado, y estadísticamente dentro de lo previsto.
  • Situación positiva: por debajo de los esperado y, aunque estadísticamente se encuentre dentro de los márgenes previstos para el año en curso, se han mejorado categóricamente los resultados del año anterior.
  • Situación excelente: los resultados han superado estadísticamente lo previsto.

La probabilidad de, como mínimo, alcanzar los objetivos es muy elevada.
 

Figura 3. Representación de las líneas límite del diagrama para la comparativa con el año anterior.


Siguiendo con el caso práctico, se comparan los datos recogidos durante el año de estudio (Tabla 1) con los del año anterior, el gráfico resultante se muestra en la figura 4. El IF estimado en base a la actividad del año anterior que se ha utilizado para la realización de este ejercicio es de 94, más desfavorable que el del periodo de estudio.

Del estudio comparativo con el año anterior, podemos concluir que la situación es, en general, deficiente. Los valores de los IF se encuentran en su gran mayoría por encima del LS esperado para el periodo de estudio y por debajo del calculado para el año anterior. La siniestralidad es mayor de lo esperado para este año, pero no peor que el año anterior.

Esto podría indicar que las medidas preventivas implantadas por la empresa han mejorado las condiciones de trabajo, sin embargo, se debería seguir mejorando la situación porque no se han alcanzado los objetivos iniciales previstos. Este método comparativo es muy útil si se va construyendo a lo largo del año, es decir, ir reflejando en el diagrama, a medida que se van cumpliendo los meses, los valores de los IF, de forma que nos va indicando la probabilidad de alcanzar los objetivos previstos mediante la adopción de medidas preventivas.
 


Figura 4. Diagrama de la comparativa con el año anterior. Fuente: Herramientas para la prevención. Accidentes de trabajo. Control estadístico. INSST. 


BIBLIOGRAFÍA

BESTRATEN BELLOVÍ, M., GIL FISA, A. y PIQUÉ ARDANUY, T. 2001. La gestión integral de los accidentes de trabajo (II): control estadístico.
Instituto Nacional de Seguridad e Higiene en el Trabajo. Disponible en: NTP 593.

BESTRATÉN BELLOVÍ, M. y otros. Seguridad en el trabajo. 6º ed. INSHT, 2011. ISBN 978-84-7425-790-8. Disponible en: Seguridad en el trabajo.

GÓMEZ-ACEBO MIRALLES, A. Y TORRES GUTIÉRREZ, V. Documento 429. Control estadístico rápido de los accidentes de trabajo a escala de empresa.
Instituto Nacional de Medicina y Seguridad en el Trabajo.

Institut Valencià de Seguretat i Salut en el Treball. 2013. El control estadístico de la accidentabilidad. Disponible en: El control estadístico de la accidentabilidad.

Portal del Instituto Nacional de Estadística, Glosario de conceptos: horas de trabajo efectivas, [consulta: 27 marzo 2024]. Disponible en: INE: horas de trabajo efectivas.

Portal del Instituto Nacional de Seguridad y salud en el Trabajo, Herramientas para la prevención, Accidentes de trabajo. Control estadístico. [consulta: 27 marzo 2024]. Disponible en: Accidentes de trabajo. Control estadístico.

SHIPP, P. J. Documento 256. Presentación y explotación de las estadísticas de accidentes a escala empresa. Instituto Nacional de Medicina y Seguridad en el Trabajo.

Subdirección General de Estadística y Análisis Sociolaboral del Ministerio de Trabajo y Economía Social. 2023. Estadística de accidentes de trabajo (atr). Informe metodológico estandarizado. Disponible en: Informe metodológico estandarizado.

Texto refundido de la Ley General de la Seguridad Social. Real Decreto Legislativo 8/2015, de 30 de octubre. Boletín oficial del estado, nº 261 (31-10-2015). Disponible en: RDL 8/2015.