NTP 0951: Estrategias de medición y valoración de la exposición a ruido (II): tipos de estrategias - Año 2012

Nota Técnica de Prevención 0951

Título:
Estrategias de medición y valoración de la exposición a ruido (II): tipos de estrategia
 
Elaborado por: 
Julia García Ruiz-Bazán 
Centro Nacional de Nuevas Tecnologías (INSHT)
 
Pablo Luna Mendaza 
Centro Nacional de Condiciones de Trabajo (INSHT)
 
Resumen: 
En el Anexo II (Medición del ruido) del Real Decreto 286/2006, se establece la filosofía en que debe basarse tanto el planteamiento de las mediciones como la comparación de los resultados que se obtienen a través de ellas, con los valores de referencia. En esta Nota Técnica de Prevención, que forma un conjunto con las 950 y 952, se pretende mostrar las posibles estrategias, consideradas técnicamente aceptables, para la medición del ruido, el tratamiento posterior de los resultados y la toma de decisiones para cumplir con el citado real decreto. Esta NTP trata de la planifi cación de las mediciones. La bibliografía se ha incluido al fi nal de la NTP 952.
 

NIPO: 272-13-015-4

Autor: Instituto Nacional de Seguridad e Higiene en el Trabajo (INSHT)

Contiene: 7 páginas

Descargar PDF (762,1 KB)

Contenido relacionado

Contenido del documento en formato texto

Las NTP son guías de buenas prácticas. Sus indicaciones no son obligatorias salvo que estén recogidas en una disposición normativa vigente. A efectos de valorar la pertinencia de las recomendaciones contenidas en una NTP concreta es conveniente tener en cuenta su fecha de edición.


1. ANÁLISIS DE LAS CONDICIONES DE TRABAJO CON EXPOSICIÓN AL RUIDO

El desconocimiento de las características de las exposiciones, es decir, de las condiciones de trabajo en lo que respecta a la exposición al ruido es una de las fuentes de incertidumbre más importantes. Se trata asimismo de una fuente de incertidumbre no evaluable o medible por lo que su control y minimización son muy importantes. Por todo ello, es imprescindible un análisis previo de dichas condiciones en el que deberá participar activamente la empresa en cuestión, tanto los mandos como los trabajadores expuestos, en estrecha colaboración con el técnico de prevención. 

La figura 1 muestra el diagrama de flujo de la metodología global aquí descrita. 

El objetivo básico de esta metodología es preparar un plan de medición que permita obtener una evaluación representativa y fiable de la exposición. 

En primer lugar, conviene realizar un análisis de las condiciones de trabajo lo más exhaustivo posible, estudiando las características de la empresa. El técnico de prevención deberá, asimismo, contrastar los datos aportados con las siguientes fuentes de información:

  • Observaciones propias de las condiciones existentes.
  • Entrevistas con los mandos y los trabajadores expuestos.
  • Si existe una evaluación de la exposición al ruido previa, es importante su consulta.
  • En algunos casos, incluso resultará conveniente el realizar medidas puntuales “exploratorias”, sobre todo en el caso de situaciones en cierto modo desconocidas. 

Con todo ello, el técnico de prevención debe:

  1.  Delimitar en qué áreas de trabajo deberá llevarse a cabo la evaluación de la exposición al ruido.
  2.  Sobre qué puestos de trabajo o trabajadores deberá realizarse la evaluación y si existe la posibilidad de constituir Grupos de exposición homogénea (en adelante GEH).
  3. Tener en cuenta si existe la posibilidad de que ocurran episodios de ruido significativos en la jornada de trabajo.

 

2.GRUPOS DE EXPOSICIÓN HOMOGÉNEA (GEH)

Un Grupo de exposición homogénea (GEH) es un grupo de trabajadores asignados a puestos de trabajo o tareas similares que están expuestos de forma análoga a fuentes de ruido semejantes. La definición de un GEH requiere del criterio profesional de un técnico de prevención en base a la información recabada con anterioridad. 

Los GEH pueden constituirse siguiendo diferentes criterios: en función del puesto de trabajo, de la tarea a desarrollar, del área de trabajo o incluso según el proceso productivo. Su constitución permite muestrear sobre un número representativo de trabajadores de exposición similar. Sin embargo, se trata de un proceso complejo ya que, por un lado, GEH demasiado grandes supondrán exposiciones no del todo homogéneas y, por otro lado, GEH demasiado pequeños conllevarán un mayor esfuerzo de medición. Un GEH puede estar constituido por un solo trabajador, si su exposición es muy específica.



3. ESTUDIO DE UNA JORNADA DE TRABAJO NOMINAL

Con el objetivo de obtener una visión general y una comprensión global de todos los factores que van a influir en la exposición al ruido, conviene determinar una jornada de trabajo nominal, contemplando los siguientes aspectos de la misma:

  • Tareas que se realizan, incluyendo sus características y su duración, y variaciones entre las diferentes tareas.
  • Principales fuentes de ruido y áreas de trabajo más ruidosas.
  • Patrón de trabajo y episodios de ruido significativos que puedan influir en el nivel de ruido.
  • Número y duración de posibles descansos, reuniones, etc. y su inclusión o no dentro de la jornada de trabajo habitual. 

Esta jornada de trabajo nominal será objeto de la medición para determinar la exposición al ruido, pudiendo tratarse de la jornada en la que se prevea una exposición mayor. En aquellos casos en los que el trabajo varíe notablemente de una jornada a otra, puede ser necesario el utilizar el promedio semanal, definido en el Real Decreto 286/2006.

 

4. SELECCIÓN DE LA ESTRATEGIA DE MEDICIÓN

Las tres estrategias de medición desarrolladas para la determinación de la exposición al ruido en el trabajo son:

  • a) Basada en la tarea: el trabajo a realizar en la jornada laboral se subdivide en un determinado número de tareas representativas que son medidas independientemente.
  • b) Basada en el puesto de trabajo (función): la medición se realiza sobre trabajadores que desarrollan diferentes tareas en su puesto de trabajo, difícilmente subdivisibles y, por lo general, en el marco de un GEH.
  • c) Jornada completa: la medición se lleva a cabo a lo largo de toda la jornada laboral. 

La selección de la estrategia de medición más apropiada va a depender de muchos factores tales como el objeto de la medición, la complejidad de las condiciones de trabajo, el número de trabajadores expuestos, la duración de la exposición a lo largo de la jornada de trabajo, e incluso del tiempo disponible por el técnico de prevención para la medición en sí misma y para el posterior análisis de los resultados. 

Asimismo, la selección se basará en el conocimiento previo de la exposición al ruido de que se disponga. Cada una de las estrategias presenta diferentes peculiaridades que la hacen más o menos apropiada para cada situación y que se desarrollan en los siguientes apartados.

 

5. ESTRATEGIA BASADA EN LA TAREA

La jornada de trabajo nominal estudiada debe poder divi dirse en tareas u operaciones diferentes y concretas, de manera que durante la realización de cada una de ellas el trabajador tenga una exposición al ruido similar, es decir, que se obtengan valores de LAeq,T homogéneos. Ejemplos de aplicación:

  • Taller de corte de piezas y posterior soldadura de las mismas.
  • Cadena de montaje de la industria del automóvil. 

Las claves del enfoque por tareas son las siguientes:

  • Amplio y profundo conocimiento de las condiciones de trabajo.
  • Tener en cuenta los posibles episodios de exposición a ruido significativos y asegurarse de que están incluidos en las tareas definidas y en los períodos de medición.
  • La estimación de la duración de la tarea es fundamental y es un factor de incertidumbre a calcular posteriormente.
  • Tiempos de medición cortos, menor esfuerzo de medición que las otras estrategias. 

Cuando resulta aplicable, esta estrategia aporta una valiosa información sobre las contribuciones de las diferentes tareas u operaciones al nivel de exposición diario global. Esto supone una gran ventaja si el objetivo es priorizar actuaciones preventivas en el marco de un programa de control de la exposición al ruido. 

Asimismo, esta estrategia permite la posibilidad de calcular el nivel de exposición al ruido de jornadas de trabajo diferentes a aquéllas en las que se han llevado a cabo las mediciones propiamente dichas, en función de la distribución y la duración de las tareas definidas y medidas. 

 

Duración de la tarea

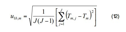
La duración de la tarea puede ser estimada a partir de la información obtenida de los trabajadores y demás per sonal entrevistado o bien puede medirse tras repetidas observaciones.

Se calculará entonces la media aritmética, Tm de la duración de cada tarea m a partir de los J valores obtenidos, Tm,J, aplicando la siguiente ecuación:


La suma de las duraciones de las diferentes tareas, Tm, se corresponderá con la duración de la jornada de trabajo nominal, Te , según la ecuación:


donde Tm es la duración media de la tarea  m y M es el número total de tareas identificadas

 


Obtención de LAeq,d en la estrategia basada en la tarea

Para cada tarea, m, se medirá el LAeq,T,m correspondiente. 

La duración de cada medición se prolongará lo su ficiente como para que sea ésta representativa de la exposición al ruido durante el desarrollo de la tarea en cuestión. 

En este sentido, se deben seguir las siguientes indicaciones:

  • Si la tarea dura menos de 5 minutos, la duración de cada medición será equivalente a la duración de la tarea.
  • Para tareas de más de 5 minutos, la medición durará, al menos, 5 minutos.
  • Si el ruido es cíclico a lo largo de la tarea, cada me dida debe cubrir, al menos, 3 ciclos bien definidos. Si la duración de 3 ciclos definidos es menor de 5 mi nutos, cada medida debe durar, al menos, 5 minutos. La duración de cada medición debe corresponderse siempre con la duración de un determinado número de ciclos enteros.
  • También puede optarse por tiempos de medición me nores en los casos en los que el nivel de ruido sea constante o bien la tarea contribuya muy poco al nivel de exposición global 1.)

1.) A título orientativo, el NORDTEST METHOD (ver referencia bibliográfica al final de la parte III de esta NTP) considera que si el nivel de presión sonora es inferior en 10dB al valor de referencia su contribución es mínima.

En cuanto al número de mediciones a realizar, la norma considera que deben llevarse a cabo, al menos, 3 medidas. Atendiendo a los resultados de estas 3 mediciones, si los valores difieren en 3 dB o más se deberá:

  • a) Llevar a cabo 3 o más mediciones de la tarea,
  • b) o bien revisar la definición de las tareas y subdividir en tareas más sencillas,
  • c) o bien repetir las medidas pero con mayores tiempos de medición.


Con ello lo que se pretende es reducir la incertidumbre asociada.

Ejemplo: Un trabajador realiza dos tareas A y B bien defi nidas a lo largo de su jornada laboral de 8h, con una pau sa de 30 minutos.
La tarea A se realiza durante 5 h. Se trata de una tarea cíclica, cuyos ciclos duran 6 minutos. La tarea B no es cíclica y se lleva a cabo durante 2,5 h. 

¿qué tiempos de medición se deberían emplear?

Para la tarea A se tienen que cubrir al menos 3 ciclos en la medición, es decir, la duración mínima de la medida sería de 18 minutos.
Y se deben realizar 3 mediciones de dicha duración. 

Para la tarea B se llevarán a cabo 3 mediciones de al menos 5 minutos. A continuación, se calcula el LAeq,T,m correspondiente a cada tarea mediante la siguiente ecuación:

donde LAeq,T,mi es el nivel de presión sonora continuo equi valente obtenido en cada medición y I es el número total de mediciones de la tarea llevadas a cabo. 

A partir de aquí, para calcular el nivel de exposición diario equivalente global, LAeq,d, hay dos opciones:

1. Por un lado, puede calcularse el nivel de exposición diario equivalente para cada tarea m, LAeq,d,m mediante la siguiente expresión (5): Y a continuación, calcularse el nivel de exposición dia rio equivalente global, LAeq,d, mediante la ecuación (6):

  donde M es el nº total de tareas.

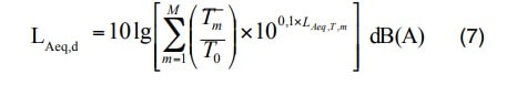
2. O bien, obtener directamente el nivel de exposición diario equivalente global, LAeq,d, a partir de los LAeq,T,m correspondientes a cada tarea, calculados según ecuación (4), mediante la expresión matemática (7) a continuación:


donde T0 es el tiempo de referencia, en este caso siem pre 8 horas.


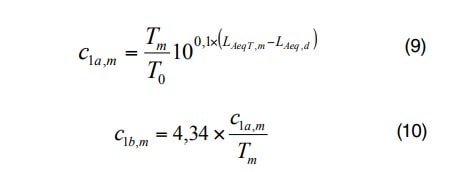
Cálculo de la incertidumbre de la medición para la estrategia basada en la tarea

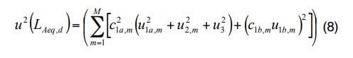
Teniendo en cuenta lo recogido en la parte I de esta NTP la incertidumbre combinada estándar para el nivel de ex posición diario u(LAeq,d) se calcula a partir de las distintas contribuciones ciui de las diferentes componentes de in certidumbre, según la siguiente ecuación (8):

donde m corresponde a cada tarea definida y M es el número total de tareas y además:

  • u1a,m es la incertidumbre estándar debida al muestreo por1a,m tareas.
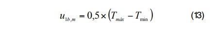
  • u1b,m es la incertidumbre estándar debida al cálculo de la1b,m duración de la tarea.
  • u2,m es la incertidumbre estándar debida al instrumento2,m de medida empleado.
  • u3 es la incertidumbre estándar debida a la posición del micrófono.
  • c 1a,m y c 1b,m son los diferentes coeficientes de sensibilidad.
     

La Norma UNE EN ISO 9612:2009 considera que los coeficientes de sensibilidad debidos tanto al instrumento de medida empleado, c2,m, como a la posición del micrófono, c3,m, son iguales al del muestreo por tareas,  c , de forma que en la fórmula se ha simplificado y 1a,m sólo queda reflejado éste último. 

Los valores de u2,m y u3 son los recogidos en la parte I de esta NTP.

A continuación se muestra el cálculo para los restantes parámetros de la fórmula (8). 

Los coeficientes de sensibilidad se calculan según:

Las incertidumbres estándar se calculan según:

siendo I el número total de mediciones de la tarea.

siendo J el número total de observaciones de la duración de la tarea.

Asimismo, cuando se trate de rangos de tiempo, es posible aproximar la incertidumbre estándar debida a la duración de la tarea mediante la fórmula:

Por último, la incertidumbre expandida se calcularía según lo recogido en la parte I de esta NTP.

 

6. ESTRATEGIA BASADA EN EL PUESTO DE TRABAJO (FUNCIÓN)

Esta estrategia es útil cuando no es sencillo describir el patrón de trabajo y dividirlo en tareas bien definidas. Tam bién se aplica cuando no resulta práctico llevar a cabo un análisis de las condiciones de trabajo muy detallado y, por lo tanto, no es necesario un conocimiento de las mismas tan exhaustivo como ocurría en el caso de la estrategia por tareas. 

Se realizan mediciones aleatorias entre los diferentes trabajadores que ocupan puestos de trabajo equivalentes o de exposiciones al ruido muy similares, por lo general, en el marco de un GEH.

La Norma UNE EN ISO 9612:2009 no recomienda el empleo de esta estrategia cuando el trabajo consta de un pequeño número de tareas muy ruidosas. 

El desarrollo de esta estrategia conlleva un mayor tiem po de medición pero el resultado final suele presentar una incertidumbre menor. 

Ejemplos de aplicación:

  • Línea de emblistado, encajado y empaquetado de una industria farmacéutica.
  • Línea de plegado/tren de acabados de una imprenta.


Al igual que en el caso de la estrategia basada en la tarea, es imprescindible no descuidar los posibles epi sodios de elevada exposición al ruido durante el tiempo de medición. 

Ambas estrategias la basada en la tarea y la basa da en el puesto de trabajo (función) – no son excluyen tes y puede haber casos en los que puedan aplicarse ambas, con resultados igualmente representativos de la exposición. 

 

Plan de medición en la estrategia basada en el puesto de trabajo (función)

Una vez identificados los puestos de trabajo a evaluar, deben definirse los GEH que correspondan. 

En función del número de trabajadores que constituyan de cada GEH, existe una duración mínima de la duración de la medición, a distribuir entre los miembros de dicho GEH. La tabla 1 muestra el cálculo a realizar. 


A continuación, teniendo en cuenta que según esta estrategia, deben realizarse, como mínimo, 5 mediciones, se determina el número de medidas y la duración de las mismas de manera que se cumpla la duración mínima obtenida de la tabla 1 o bien se supere. 

Ejemplo de cálculo de duración de la medición para un GEH dado, según tabla 1:

Se constituye un GEH de 15 trabajadores. El plan de medición será como sigue:

  • La duración mínima acumulada de la medición es de 10 h, según la tabla 1
  • Se decide realizar 5 mediciones de 2 h cada una
  • Se escogen aleatoriamente 5 trabajadores sobre los realizar las mediciones del tiempo estipulado y a lo largo de la jornada de trabajo.

A la vista del ejemplo de cálculo de duración mínima acumulada, se aprecia el mayor esfuerzo de medición que supone la estrategia basada en el puesto de trabajo (fun ción), frente a la estrategia basada en la tarea. Además, en el cómputo posterior de la incertidumbre no se con templa la componente debida al cálculo de la duración de la tarea (a menudo muy importante).


Obtención de LAeq,d en la estrategia basada en el puesto de trabajo (función)

El LAeq,Te correspondiente a cada puesto de trabajo definido en el marco de un GEH se calcula mediante la siguiente ecuación:

donde LAeq,T,n es el nivel de presión sonora continuo equivalente obtenido en cada medición y N es el número total de mediciones del puesto de trabajo llevadas a cabo. 

Es importante señalar que el valor de T e se define como el correspondiente a la duración efectiva de la jor nada de trabajo y, por lo tanto, NO es el de la duración de cada medición individual realizada sobre los miembros del GEH, según los cálculos de la tabla 1. 

A continuación, se promedia a 8 horas para obtener el LAeq,d en el marco de la estrategia basada en el puesto de trabajo:

Cálculo de la incertidumbre de la medición para la estrategia basada en el puesto de trabajo (función)

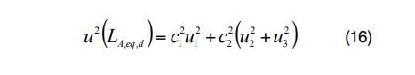
Teniendo en cuenta lo recogido en la parte I de esta NTP, la incertidumbre combinada estándar para el nivel de exposición diario u(LAeq,d) se calcula a partir de las diferentes contribuciones ciui de las diferentes componentes de incertidumbre, según la ecuación (16):

El valor del factor c1u1 es función del número de me diciones, N, llevadas a cabo durante el muestreo y del valor de la componente de incertidumbre u1 asociada a los valores de LAeq,T,n obtenidos. 

De esta manera, el valor de u1 se calcula según la fórmula (17):

donde:

  • LAeq,T,n es el nivel de presión sonora continuo equivalente obtenido en cada medición.
  • N es el número total de mediciones del puesto de trabajo llevadas a cabo.
  • LAeq,T es la media aritmética de las N muestras de nivel de presión sonora equivalente realizadas. 

Cabe destacar que este valor de u1 sólo se calcula para utilizarlo como entrada en la tabla 3 2, junto con el valor de N, y obtener el valor del factor c u .2.

De cara a una validación de los datos obtenidos, al igual que en el caso de la estrategia por tareas, la norma establece que si el factor c1u1 obtenido de la tabla 3 es superior a 3,5 dB (resaltados en negrita) se debe revisar el plan de medición diseñado y estudiar la posibilidad bien de modificar los GEH definidos o bien de aumentar el número de mediciones, N, con objeto de reducir la incertidumbre. 

Los coeficientes de sensibilidad c2 y c3 debidos, res pectivamente al instrumento empleado y a la posición del micrófono valen ambos la unidad. Por su parte, los valo res de u2 y u3 son los recogidos en la parte I de esta NTP.

Por último, la incertidumbre expandida se calcularía según lo recogido en la parte I de esta NTP.

2. En Abril de 2011 se publicó un erratum de la Norma UNE EN ISO 9612:2009 consistente en un archivo Excel que permite calcular la incertidumbre de medida del ruido y que aporta este factor c1 *u1 sin necesidad de recurrir a la tabla 3 aquí reproducida.

 

7. ESTRATEGIA BASADA EN LA JORNADA COMPLETA

Esta estrategia cubre la jornada de trabajo por entero, incluyendo tanto exposiciones elevadas al ruido como períodos de menor nivel o “silenciosos”.

La estrategia basada en la jornada completa resulta útil cuando no es sencillo o práctico el describir o “di seccionar” el patrón de trabajo, al igual que ocurría en el caso de la estrategia basada en el puesto de trabajo. Por ello, requiere un menor esfuerzo de análisis de las condiciones de trabajo pero, a cambio, supone mayor esfuerzo de tiempo de medición. 

Se recomienda especialmente cuando la exposición al ruido se desconoce en mayor o menor grado, o bien es impredecible o excesivamente compleja. Se emplea también cuando quieren cubrirse todas las contribucio nes a la exposición al ruido con total seguridad. Sin embargo, precisamente por este motivo, hay un mayor riesgo de registrar contribuciones falsas (impactos en el micrófono, interferencias deliberadas o no, etc). Para minimizar este riesgo, conviene observar al trabajador durante el desarrollo de la medición, en la medida de lo posible, o bien preguntarle a la finalización de la jornada por las tareas desarrolladas y/o las ubicaciones en las que ha trabajado. 

Los instrumentos más comúnmente empleados en esta estrategia son los dosímetros. Se recomienda además el empleo de instrumentos de medición personal dotados con registro temporal de la exposición, con el objeto de repasar dicho historial con el trabajador al final del turno y confirmar la actividad laboral desarrollada por éste. De esta forma, además, podrán eliminarse contribuciones irre levantes e incluso detectar las tareas de mayor exposición. 

Asimismo, es recomendable la realización de entre vistas con los trabajadores y los supervisores e incluso la realización de mediciones puntuales para verificar los niveles de exposición al ruido registrados por los dosíme tros, todo ello con el objetivo de confirmar, en la medida de lo posible, la validez de las mediciones. También se contempla la posibilidad de medir determinadas tareas con objeto de contrastar los datos obtenidos, siguiendo la estrategia correspondiente del apartado 3 del presente documento. 


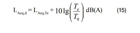
Obtención de L en la estrategia basada en la Aeq,d jornada completa

Deben realizarse tres mediciones en tres jornadas de trabajo representativas de la exposición al ruido. Aunque, siempre que sea posible, debe cubrirse la jornada completa de trabajo, hay ocasiones en las que esto no es posible. En esos casos, se medirá la mayor parte de la jornada que sea factible, asegurándose de cubrir todos los períodos de exposición significativa. 

Si los resultados de las tres jornadas medidas difieren en 3 dB o más, deberán medirse, al menos, dos jornadas más. 

Se empleará la ecuación (14) para calcular la “media energética” de los diferentes L registrados y poste-Ae q,T riormente, mediante la ecuación (15) se obtiene el LAeq,d.


Cálculo de la incertidumbre de la medición para la estrategia basada en la jornada completa

El procedimiento es el mismo que el descrito para el caso de la estrategia basada en el puesto de trabajo. 

En primer lugar, se calculará el valor de u1 mediante la ecuación (17). Con el valor así calculado y con el número, N, de mediciones realizadas, se obtendrá el valor del factor c1u1 mediante el empleo de la tabla 3. Por último, se empleará la ecuación (16) para el cálculo de la incertidumbre estándar y posteriormente, mediante la multiplicación por el factor de confianza que se considere, se obtendría el valor de la incertidumbre expandida, U.

 

8. OBSERVACIONES ADICIONALES

Existe la posibilidad de emplear más de una estrategia de medición en alguna ocasión. Pueden ocurrir casos en los que durante las jornadas en las que se llevan a cabo las mediciones, bien siguiendo la estrategia basada en la jornada completa o la basada en la tarea, no se desarrollen algunas tareas que pueden contribuir significativamente a la exposición a ruido. En ese caso, se requerirán mediciones adicionales de dichas tareas. 

También es posible que determinados trabajadores desarrollen su jornada laboral de manera desigual y durante la mañana se les aplique una estrategia para el cálculo de su exposición y durante la tarde otra estrategia diferente. 

La tabla 4 recoge una guía para la selección de la estrategia de medición en función del patrón de trabajo.