NTP 0950: Estrategias de medición y valoración de la exposición a ruido (I): incertidumbre de la medición - Año 2012

Nota Técnica de Prevención 0950
 
Título:
Estrategias de medición y valoración de la exposición a ruido (I): incertidumbre de la medición
 
Elaborado por: 
Julia García Ruiz-Bazán 
Centro Nacional de Nuevas Tecnologías (INSHT) 
 
Pablo Luna Mendaza
Centro Nacional de Condiciones de Trabajo (INSHT)
 
Resumen: 
En el Anexo II (Medición del ruido) del Real Decreto 286/2006, se establece la filosofía en que debe basarse tanto el planteamiento de las mediciones como la comparación de los resultados que se obtienen a través de ellas, con los valores de referencia. En esta Nota Técnica de Prevención, que forma un conjunto con las 951 y 952, se pretende mostrar las posibles estrategias, consideradas técnicamente aceptables, para la medición del ruido, el tratamiento posterior de los resultados y la toma de decisiones para cumplir con el citado real decreto. Esta NTP se centra en el cálculo de la incertidumbre. La bibliografía se ha incluido al fi nal de la NTP 952.

 

NIPO: 272-13-015-4

Autor: Instituto Nacional de Seguridad e Higiene en el Trabajo (INSHT)

Contiene: 3 páginas

Descargar PDF (421,2 KB)

Contenido relacionado

Contenido del documento en formato texto

Las NTP son guías de buenas prácticas. Sus indicaciones no son obligatorias salvo que estén recogidas en una disposición normativa vigente. A efectos de valorar la pertinencia de las recomendaciones contenidas en una NTP concreta es conveniente tener en cuenta su fecha de edición. 

 

1. INTRODUCCIÓN

El Real Decreto 286/2006, sobre la protección de la salud y la seguridad de los trabajadores contra los riesgos relacionados con la exposición al ruido, introdujo el concepto de incertidumbre en su articulado. Este hecho ha obligado a considerar el dato de la incertidumbre en la expresión final del resultado de una medición de ruido, tal y como ya reflejaba la Directiva europea 2003/10/CE, de la que emana la citada norma española. 

En su Anexo II, el citado real decreto establece la necesidad de comparar el resultado de la medición de ruido con los valores de referencia teniendo en cuenta el intervalo de incertidumbre asociado. Asimismo, dispone que la determinación del referido intervalo de incertidumbre se llevará a cabo de conformidad con la práctica metrológica. 

En el marco de esa práctica metrológica, la Norma UNE EN ISO 9612:2009 aporta un método para la medición de la exposición al ruido de los trabajadores y para el cálculo del nivel de exposición y de la incertidumbre asociada. 

Durante el proceso de redacción de la mencionada norma, se elaboró la Guía Técnica del Real Decreto 286/2006, publicada por el Instituto Nacional de Seguridad e Higiene en el Trabajo en el año 2008. El Apéndice 5 de dicha Guía Técnica, que recoge los aspectos relativos a las mediciones del nivel del ruido, se inspiró en un borrador de la mencionada norma que, finalmente, no coincidió con la versión definitiva de la misma.


2. CONCEPTOS RELATIVOS A LA INCERTIDUMBRE DE LA MEDICIÓN DE RUIDO

El resultado de la medición de cualquier magnitud física, como es el ruido, debe ir acompañado de una indicación de la calidad de dicho resultado, de manera que quienes manejen ese dato puedan evaluar la idoneidad del mismo. Sin esta indicación, que es precisamente la incertidumbre, las mediciones no podrían compararse entre sí ni con valores de referencia. 

La incertidumbre de medida se define como el parámetro asociado al resultado de una medición que caracteriza la dispersión de los valores que podrían ser razonablemente atribuidos al mensurando (siendo el mensurando la magnitud particular objeto de la medición). En el caso de la medición de la exposición laboral al ruido, el mensurando es el nivel de exposición diario equivalente, LAeq,d.

Por lo general, en la realización de cualquier medición (no sólo de la exposición al ruido) se cometen imperfecciones que dan lugar a un error en el resultado de la medición. 

Los términos error e incertidumbre no son sinónimos, sino que se trata de conceptos diferentes. 

El error se define como la diferencia entre el resultado de una medición y el valor verdadero del mensurando. Se trata, por tanto, de un valor y de un concepto ideal que, como tal, puede no conocerse con exactitud jamás. La incertidumbre, en cambio, es un rango, se estima para un procedimiento de medición y, posteriormente, se aplica a todas las determinaciones descritas en el mencionado procedimiento. Es una expresión del hecho de que, para un mensurando y un resultado de medida dados, no existe un único valor, sino un infinito número de valores dispersos en torno al resultado que son compatibles con todas las observaciones, datos y conocimientos que se poseen y que, con diferentes grados de credibilidad, pueden atribuirse al mensurando. 

En la realización de una medición de la exposición al ruido existen numerosas fuentes posibles de incertidumbre debidas tanto a errores como a alteraciones naturales de las condiciones de trabajo. La exactitud y precisión de la medición de la exposición al ruido, objetivos primordiales, van a depender fundamentalmente de un conocimiento profundo de la/s exposición/es, de los aparatos empleados y de la estimación de los tiempos de exposición. 

Entre las posibles fuentes de incertidumbre cabe destacar:

  • La instrumentación empleada y su calibración.
  • La posición del micrófono.
  • Las variaciones en el trabajo diario, en las condiciones operativas, etc.
  • El tipo de muestreo llevado a cabo, como tal.
  • Falsas contribuciones, tales como el viento, corrientes de aire o impactos en el micrófono.
  • Un análisis inicial de las condiciones de trabajo deficiente.
  • Las contribuciones de fuentes de ruido atípicas tales como conversaciones, música, señales de alarma o comportamientos anormales.


Los errores derivados de los posibles impactos sobre el micrófono, las corrientes de aire o las contribuciones anómalas deben ser controlados y minimizados al máximo, en la medida de lo posible.

Las demás fuentes de incertidumbre en la medición de ruido, por su parte, deben ser también controladas pero en algunos casos imposibles de minimizar. Para su evaluación, son tratadas matemáticamente de forma independiente. Cada componente de incertidumbre se expresa como una desviación estándar y se denomina incertidumbre estándar, ui. 

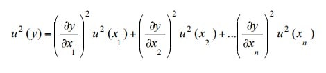
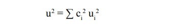
Para el resultado de la medición de ruido, se calcula la incertidumbre estándar combinada, u, que proviene de la combinación de todas las componentes de la incertidumbre estándar, ui. Las contribuciones de cada componente se calculan utilizando los correspondientes coeficientes de sensibilidad, ci. El cálculo es mediante la ecuación:

La incertidumbre estándar combinada, u, de una función, y, es la raíz cuadrada de la suma de ciertos términos que son las varianzas de las variables medibles ponderadas de acuerdo a la importancia, que la variación de cada una, tiene en el resultado final. Los coeficientes de sensibilidad (también llamados de ponderación) son las derivadas parciales de la función respecto a las variables medibles.

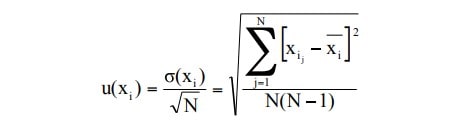
La incertidumbre estándar combinada u de la función y es una estimación de la desviación estándar y caracteriza la dispersión de los valores que razonablemente pueden ser atribuidos al mesurando, y u(xi) es la incertidumbre estándar asociada a las variables medidas. Esta última, cuando se han realizado varias mediciones y se dispone de N valores se calcula a partir de la desviación estándar (σ) de la muestra de la siguiente manera:


A partir de la incertidumbre estándar combinada, u, se obtiene la incertidumbre expandida, U, que aporta el intervalo dentro del cual se encuentra el valor del mensu rando con un determinado nivel de confianza. Se calcula multiplicando la incertidumbre estándar combinada, u, por un factor de cobertura, k, que es función del nivel de confianza que queramos asumir. 

En este punto se puede escoger entre un intervalo de confianza unilateral o un intervalo de confianza bilateral simétrico. De este modo, el resultado de la medición de la exposición al ruido vendría dado, en el primer caso, por la expresión:


 Y en el segundo caso por la expresión:  
En cada caso, el valor del factor de cobertura, k, varía, adoptando los valores de la tabla 1 para una distribución logarítmica normal, como es la que se asume para los valores de exposición al ruido.

 

Este es el proceso matemático habitual y adoptado en la Norma UNE EN ISO 9612:2009, que propone un intervalo unilateral con un 95% de nivel de confianza.


3. COMPONENTES DE LA INCERTIDUMBRE DE LA MEDICIÓN DEL RUIDO

La Norma UNE EN ISO 9612:2009 propone tres estrategias de medición (tareas, puesto de trabajo (función) o jornada completa) de cara a garantizar la representatividad de una medición de la exposición al ruido, aportando también los cálculos necesarios para la obtención de las correspondientes incertidumbres. 

Para cada estrategia de muestreo existe un tratamiento matemático diferente de las componentes de la incertidumbre asociada al resultado. Sin embargo, las incertidumbres debidas tanto a los instrumentos de medida empleados como a la posición del micrófono son comunes a las tres estrategias, tal y como se describe a continuación. 

 

Incertidumbre debida a los instrumentos de medida empleados, u2

En función del instrumento de medida utilizado, se aplicará un valor de incertidumbre estándar diferente. 

La utilización de un sonómetro de clase 1, según las especificaciones de la norma UNE EN 61672-1:2005, conlleva un menor valor de incertidumbre estándar, al tratarse de equipos más precisos y con límites de tolerancia menores. 

Sin embargo, el empleo de un sonómetro de clase 2, según las especificaciones de la norma UNE EN 616721:2005, o de un dosímetro, que cumpla con la norma UNE EN 61252/A1:2003, supone aplicar un valor mayor de incertidumbre estándar. 

Los valores a aplicar según la Norma UNE EN ISO 9612:2009 se recogen en la tabla 2.


Como ya se comentó al inicio del presente documento, para la elaboración de la Guía Técnica del Real Decreto 286/2006 del INSHT se empleó un borrador de la Norma UNE EN ISO 9612:2009. Dicho borrador incluía valores inferiores a los reflejados en la tabla 2 para la incertidum bre estándar de los instrumentos de medida, tal y como recoge la citada Guía Técnica.

Para el posterior cálculo de la incertidumbre expandida, estos valores de incertidumbre estándar debida a los instrumentos de medida se multiplican por un coeficiente de sensibilidad, ci. En el caso de las estrategias de muestreo basadas en el puesto de trabajo (función) y en la jornada completa, este coeficiente tiene un valor de 1.En el caso de la estrategia de muestreo basada en la tarea, requiere de un cálculo matemático específico que se desarrolla en la parte II de esta NTP.

 

Incertidumbre debida a la posición del micrófono, u3

La Norma UNE EN ISO 9612:2009, basándose en datos empíricos, considera que la incertidumbre estándar debida a la posición del micrófono es de 1. 0 dB.

Sin embargo, conviene señalar que la Guía Técnica refleja diferentes valores para esta incertidumbre estándar, en función del instrumento empleado y la ubicación del trabajador.