NTP 930: Toma de muestras personal: determinación de la incertidumbre del volumen de aire muestreado - Año 2012

Notas Técnicas de Prevención 930 Toma de muestras personal: determinación de la incertidumbre del volumen de aire muestreado Año: 2012 Las NTP son guías de buenas prácticas.
Sus indicaciones no son obligatorias salvo que estén recogidas en una disposición normativa vigente.
A efectos de valorar la pertinencia de las recomendaciones contenidas en una NTP concreta es conveniente tener en cuenta su fecha de edición.
Personal sampling: determination of the uncertainty of the sampled air volume Échantillonnage individuel : détermination de l’incertitude du volume de l’air prélevé Redactoras: Begoña Uribe Ortega Lda.

NIPO: -

Autor: Instituto Nacional de Seguridad y Salud en el Trabajo (INSST), O.A., M.P.

Contiene: 6 páginas

Descargar PDF (460,1 KB)

Contenido relacionado

Contenido del documento en formato texto

Notas Técnicas de Prevención 930 Toma de muestras personal: determinación de la incertidumbre del volumen de aire muestreado Año: 2012 Las NTP son guías de buenas prácticas.
Sus indicaciones no son obligatorias salvo que estén recogidas en una disposición normativa vigente.
A efectos de valorar la pertinencia de las recomendaciones contenidas en una NTP concreta es conveniente tener en cuenta su fecha de edición.
Personal sampling: determination of the uncertainty of the sampled air volume Échantillonnage individuel : détermination de l’incertitude du volume de l’air prélevé Redactoras: Begoña Uribe Ortega Lda.
en Ciencias Químicas Natividad Montes Beneitez Lda.
en ciencias Químicas Mª José Quintana San José Dra.
en Ciencias Químicas CENTRO NACIONAL DE VERIFICACIÓN DE MAQUINARIA Siguiendo los criterios de la Guía ISO (GUM) y de la norma europea EN 482:2007, este documento aporta información para la determinación de la incertidumbre del volumen de aire muestreado cuando se utilizan bombas de muestreo que operan a volumen constante y cumplen los requisitos especificados en la norma UNE-EN 1232 1.
INTRODUCCIÓN En la mayoría de los métodos de toma de muestra y aná lisis utilizados para determinar la concentración ambien tal de los agentes químicos, la captación de la muestra se realiza mediante el uso de una bomba de muestreo personal que aspira el aire a través del elemento de re tención, quedando los agentes químicos retenidos en el mismo.
La concentración ambiental del agente químico se cal cula como el cociente de la masa analizada del mismo y el volumen de aire muestreado, por lo que la incer tidumbre asociada a dicha concentración se determina como una combinación de la incertidumbre asociada a ambos parámetros.
Por lo tanto, una de las componen tes fundamentales de la incertidumbre de medida de la concentración ambiental es la asociada a la medida del volumen de aire muestreado.
2.
DEFINICIONES Para el propósito de este documento se aplican los si guientes términos y definiciones dados en la “Guía para la expresión de la incertidumbre de medida” (GUM) y en el “Vocabulario Internacional de Metrología” (VIM).
• Mensurando: Magnitud particular objeto de medición.
• Incertidumbre típica (u): Incertidumbre del resultado de una medición, expresada en forma de una desvia ción típica experimental.
• Incertidumbre típica combinada (uc ): Incertidumbre típica del resultado de una medición, cuando el re sultado se obtiene a partir de los valores de otras magnitudes, igual a la raíz cuadrada de una suma de términos, siendo estos las varianzas o covarianzas de esas otras magnitudes, ponderadas en función de la variación del resultado de medida con la variación de dichas magnitudes.
• Incertidumbre expandida (U): Magnitud que define un intervalo en torno al resultado de una medición, y en el que se espera encontrar una fracción importante de la distribución de valores que podrían ser atribuidos razonablemente al mensurando1 .
1.
La fracción puede entenderse como la probabilidad o nivel de confianza del intervalo.
• Factor de cobertura: Factor numérico utilizado como multiplicador de la incertidumbre típica combinada, para obtener la incertidumbre expandida.
• Repetibilidad: Grado de concordancia entre los re sultados de sucesivas mediciones del mismo mensu rando, mediciones efectuadas con aplicación de las mismas condiciones de medida.
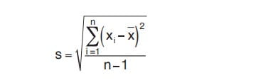
• Desviación típica experimental: Para una serie de n mediciones de un mismo mensurando, es la magnitud s que caracteriza la dispersión de los resultados, dada por la ecuación:siendo x n 2 xxi ) i =1 s = n 1 i el resultado de la i-ésima medición y x la media aritmética de los n resultados considerados.
3.
IDENTIFICACIÓN DE LAS FUENTES DE INCERTIDUMBRE El volumen de aire muestreado se calcula como producto del caudal de aspiración de la bomba y de la duración del muestreo.
Todos los factores que afectan al caudal y tiempo de muestreo afectarán al volumen de muestreo y deben ser considerados para estimar la incer tidumbre.
Durante la toma de muestra, el caudal puede verse afectado por factores tales como fluctuaciones en la pérdida de carga del elemento de muestreo, fluctuaciones de la temperatura, deriva del caudal a lo largo del muestreo, etc.
, y por consiguiente deben considerarse sus contribuciones a la incertidumbre en el caudal de muestreo.
Las fuentes de la incertidumbre que deben considerarse como mínimo son: a) Medida del caudal de muestreo – Variabilidad de las lecturas del caudal de la bomba – Del medidor de caudal b) Estabilidad del caudal durante la toma de muestra c) Medida del tiempo de muestreo.
4.
EVALUACIÓN DE LA INCERTIDUMBRE ASOCIADA A LA MEDIDA DEL CAUDAL La incertidumbre de medida del caudal depende de las incertidumbres asociadas a la calibración del medidor de caudal utilizado y a la variabilidad de las lecturas del mismo.
Incertidumbre asociada a la lectura del caudal La incertidumbre típica asociada a la medida del caudal se evalúa a partir de datos experimentales de repetibilidad, de acuerdo con la expresión: CV =ulectura n 2 Notas Técnicas de Prevención donde: CV : es el coeficiente de variación de las lecturas, en %, n : es el número de lecturas repetidas.
El coeficiente de variación experimental de las lecturas del caudal se puede calcular a partir de los resultados de n ≥ 10 mediciones repetidas del mismo, realizadas durante los ensayos de verificación de las bombas descritos en CR-01 (6) o de los resultados de mediciones anteriores.
Alternativamente y dado que se recomienda que el caudal sea medido al menos por triplicado, al inicio y al final del muestreo, se puede utilizar el coeficiente de variación de dichas lecturas.
Incertidumbre asociada al medidor de caudal primario La incertidumbre asociada al medidor de caudal se evalúa teniendo en cuenta: • la incertidumbre asociada a la calibración del medidor, • la incertidumbre asociada a la deriva del medidor, de acuerdo con la expresión: 2 2 = u + u umedidor calibración deriva Incertidumbre asociada a la calibración La calibración del medidor de caudal puede ser realizada por un laboratorio acreditado (calibración externa), o por el propio laboratorio frente a un medidor de referencia (calibración interna).
En el caso de la calibración externa la incertidumbre asociada al medidor se calcula a partir de los datos de incertidumbre indicados en el certificado de calibración del medidor, asumiendo una distribución normal de acuerdo con la expresión: U certificado =ucalibración k Siendo: U : la incertidumbre expandida indicada en el cercertificado tificado, en %, k : el factor de cobertura.
k = 2 corresponde aproximadamente a un nivel de confianza del 95 %.
k = 3 corresponde aproximadamente a un nivel de confianza del 99 %.
En el caso de la calibración interna, el procedimiento para el cálculo de la incertidumbre que se indica a continuación es aplicable a la calibración interna de un medidor de caudal frente a otro que se toma como referencia y del que se dispone de su certificado de calibración (4.
3 de CR-01).
La incertidumbre asociada a la calibración del medidor de cauda, se calcula de acuerdo con la siguiente expresión: 2 2 £ 2 2 ¥ 2 = u u ² ´ uumedidor re s pre c ure f uder cor¤ ¦ siendo: u res : la incertidumbre típica asociada a la resolución del medidor, en %, u prec : la incertidumbre típica asociada a la variabilidad de las lecturas, en %, uref : la incertidumbre típica asociada al medidor de re ferencia, en %, uder : la incertidumbre típica asociada a la deriva del medidor de referencia, en %, u cor : la incertidumbre típica asociada a la corrección de la calibración, en %.
En el apartado 10 se propone un ejemplo del cálculo de la incertidumbre en el caso de una calibración interna.
En cualquier tipo de calibración (externa o interna) de un medidor primario, las lecturas del caudal no están afectadas por las diferencias de presión y temperatura entre la calibración y el uso y, por lo tanto, no es necesario añadir estos componentes de incertidumbre.
Incertidumbre asociada a la deriva del medidor La componente de la incertidumbre típica asociada a la deriva del medidor de caudal, se calcula asumiendo una distribución rectangular de acuerdo con la expresión:3 =uderiva D siendo D la deriva del medidor, en %.
Dicha deriva puede estimarse a partir: • del valor de exactitud dado por el fabricante, en % , • del histórico de calibración del medidor de caudal, como la diferencia máxima de la corrección entre dos calibraciones consecutivas.
c < c n n −1D = × 100 Qsiendo: c n : la corrección para el valor del caudal de muestreo, obtenida del certificado o informe de calibración n, Q 3 Notas Técnicas de Prevención cn-1 : la corrección para el valor del caudal de muestreo, obtenida del certificado o informe de calibración n-1 Q : el caudal de muestreo.
5.
EVALUACIÓN DE LA INCERTIDUMBRE ASOCIADA A LA VARIACIÓN DEL CAUDAL DURANTE EL MUESTREO La componente de la incertidumbre típica asociada a la variación del caudal durante el muestreo, se calcula asumiendo una distribución rectangular de acuerdo con la expresión: 6 u = estabilidad 3 siendo (6Q) la variación de caudal, en %.
Dicha variación puede estimarse a partir: • del valor dado por el fabricante, siempre que esté ga rantizado a través de los ensayos de verificación que la bomba sigue cumpliendo con las especificaciones indicadas en el manual de instrucciones de la bomba.
• de los resultados obtenidos en el ensayo de verifica ción de la estabilidad del caudal con el aumento de la pérdida de carga, descrito en el apartado 3.
4.
1 de CR-01.
La variación se determina como la diferencia, en %, entre el caudal para la máxima y mínima pérdida de carga (6P) ensayada.
Q < Q 6P mínima 6P máxima 6Q = × 100 Qajuste• de la desviación máxima permitida por la norma UNEEN 1232 (± 5 %), una vez comprobado experimentalmente que la desviación obtenida es inferior a dicho valor.
6.
EVALUACIÓN DE LA INCERTIDUMBRE ASOCIADA AL TIEMPO DE MUESTREO La componente de la incertidumbre típica asociada al tiempo de muestro (utiempo), se puede calcular asumiendo una distribución rectangular de acuerdo con la expresión: 6t u = tiempo 3 R − 6t medidor tiempo = × 100 t mues treo siendo: 6t : la resolución relativa de la lectura del tiempo de muestreo, en %, R : la resolución del medidor de tiempo, medidor-tiempo t : el tiempo de muestreo.
• Si la resolución del medidor de tiempo es de 1 segundo, la componente de la incertidumbre asociada al tiempo de muestreo es despreciable en todos los casos.
• Si la resolución del medidor de tiempo es de 1 minuto, la componente de la incertidumbre debe tenerse en cuenta, especialmente para muestreos de corta duración.
• Si la bomba lleva incorporado un cronómetro que cumple la norma UNE EN 1232, la resolución relativa, 6t, con que se toma la lectura del tiempo será 1,04 %.
7.
CÁLCULO DE LA INCERTIDUMBRE TÍPICA COMBINADA Una vez que se han evaluado y calculado las fuentes de incertidumbre asociadas al volumen de aire muestreado deben combinarse para obtener la incertidumbre típica combinada (uc ,vo lum en), en %.
La combinación de las componentes de incertidumbre se lleva a cabo aplicando la ley de propagación de errores, según la expresión: 2 2 2 2u = u u u uc , volumen lectura medidor est abilidad tiempo de donde los términos de la segunda parte de la expresión son las incertidumbres típicas calculadas en los apartados 4, 5 y 6.
8.
CÁLCULO DE LA INCERTIDUMBRE EXPANDIDA La incertidumbre expandida (Uvolumen) se calcula multiplicando la incertidumbre típica combinada por un factor de cobertura, k, de acuerdo con la expresión: Uvolumen = k = uc , volumen donde: u : es la incertidumbre típica combinada, en %, c,vo lu men k : es el factor de cobertura.
Se recomienda utilizar un valor para el factor de cobertura de k = 2 que corresponde aproximadamente a un 95 % de probabilidad de que el caudal de muestreo se encuentre en el intervalo (Caudal ± U).
El Apéndice B del documento CR-04 (7) recoge un ejemplo detallado del cálculo de la incertidumbre del volumen de muestreo.
9.
EXPRESIÓN DE LOS RESULTADOS Se recomienda indicar el volumen de aire muestreado (V) junto con su incertidumbre expandida (Uvolumen) obtenida en el apartado 8, como: V (litros) ± U (%) o como: V (litros) ± U (litros).
Conviene indicar el procedimiento utilizado para calcular la incertidumbre expandida y el factor de cobertura aplicado.
Se recomienda que el valor numérico de la incertidumbre se exprese, como máximo, con dos cifras significativas.
El valor numérico del volumen debe redondearse a la menor cifra significativa de la incertidumbre expandida en valor absoluto.
10.
EJEMPLO DE CÁLCULO DE LA INCERTIDUMBRE PARA LA CALIBRACIÓN INTERNA DE UN MEDIDOR DE CAUDAL PRIMARIO En este apartado se muestra un ejemplo de cálculo de la incertidumbre de la calibración interna de un medidor de caudal primario, cuyo intervalo de operación es de 20 ml/min a 6 l/min.
La calibración se ha realizado por comparación con un medidor calibrado en el intervalo de 50 ml/min a 1000 ml/min por un organismo acreditado, que sirve como patrón de referencia para la calibración.
La incertidumbre 4 Notas Técnicas de Prevención máxima de la medida indicada en el certificado es ± 1,2 % lectura (k =2).
El patrón de referencia se ha almacenado siempre en las mismas condiciones de temperatura y humedad.
El medidor de caudal a calibrar es un caudalímetro de burbuja.
El intervalo de calibración se ha establecido entre 50 ml/min y 200 ml/min, que es el intervalo habitual de utilización del medidor.
Según las especificaciones del fabricante, la indicación del caudal se realiza en ml/min con cuatro dígitos y la exactitud de las lecturas es como máximo 1 %.
El laboratorio dispone de un procedimiento de calibración interno, que describe con todo detalle las operaciones a seguir para realizar la calibración de los medidores y como utilizar los resultados obtenidos.
La tabla 1 recoge las lecturas repetidas de caudal en ml/min del medidor a calibrar y los valores medios del patrón de referencia en las condiciones de calibración: Tabla 1.
Lecturas del caudal Patrón de referencia Medidor a calibrar 44,93 47,75 47,80 47,80 68,52 71,80 71,85 71,80 92,21 96,40 96,50 96,50 139,6 145,2 145,0 145,2 187,9 195,0 194,9 195,0 Cálculo de la corrección Los resultados indican que las lecturas proporcionadas por el medidor a calibrar son significativamente diferentes de las indicadas por el medidor de referencia, por lo que en una futura utilización del medidor se debe considerar la corrección de las lecturas.
La corrección se calcula como la diferencia entre la media de las lecturas proporcionadas por el medidor de referencia y el medidor a calibrar.
Corrección = valor de referencia – valor del medidor a calibrar Esta corrección debe indicarse en el informe de calibración.
Cálculo de la incertidumbre de la calibración La incertidumbre asociada al medidor de caudal, calibrado internamente, se puede obtener para cada punto de calibración de acuerdo con la expresión (A): 2 2 £ 2 2 ¥ 2 = u u ² ´ u (A) umedidor re s pre c ure f uder cor¤ ¦ Resolución La incertidumbre típica asociada a la resolución del medidor a calibrar se calcula asumiendo una distribución rectangular, de acuerdo con la expresión: d =uresolución 3 siendo (d ) la resolución del medidor, en ml/min.
Precisión La incertidumbre típica asociada a la precisión se calcula mediante la expresión: = suprecisión siendo (s) la desviación típica de las lecturas en cada punto de calibración, en ml/min.
Referencia La incertidumbre asociada a la referencia se calcula a partir de los datos indicados en el certificado de calibración de acuerdo con la expresión: U certificado = lectura 100 =ureferencia k siendo: U : la incertidumbre indicada en el certificado de certificado calibración del medidor de referencia, en %, k : el factor de cobertura indicado en el certificado de calibración.
Deriva La incertidumbre asociada a la deriva del medidor de referencia se calcula a partir del dato de exactitud indicado en las especificaciones del medidor, asumiendo una distribución rectangular de acuerdo con la expresión: E = lectura 100 =uderiva 3 siendo (E) la exactitud indicada por el fabricante, en %.
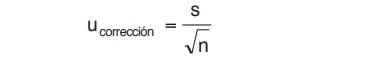
Corrección La incertidumbre asociada a la corrección se calcula como la desviación típica de la media: s =ucorrección n siendo: s : la desviación típica de las lecturas en cada punto de calibración, n : el número de lecturas en cada punto.
La tabla 2 recoge los datos necesarios para el cálculo de la incertidumbre.
La incertidumbre típica combinada para cada punto de la calibración se obtiene combinando las componentes indicadas anteriormente de acuerdo con la expresión (A).
La tabla 3 recoge los valores calculados de cada componente de incertidumbre.
Dado que la incertidumbre absoluta de cada punto de calibración es proporcional a la indicación del instrumento, lec, la incertidumbre expandida se puede expresar en %.
U = ± 1,7 % lec (k = 2) 5 Notas Técnicas de Prevención Tabla 2.
Datos necesarios para el cálculo de la incertidumbre Lectura media (ml/min) 47,78 71,82 96,47 145,1 195,0 Nº lecturas 3 3 3 3 3 Desviación típica (ml/min) 0,0289 0,0289 0,0577 0,1155 0,0577 Resolución (ml/min) 0,01 0,01 0,01 0,1 0,1 Deriva (ml/min) 0,27588 0,41463 0,55695 0,83793 1,12564 U (k=2) del medidor de referencia, (ml/min) 0,5734 0,8618 1,1576 1,7416 2,3396 Tabla 3.
Valores calculados de cada componente de incertidumbre (ml/min) Caudal 47,78 71,82 96,47 145,1 195,0 uresolución 0,00577 0,00577 0,00577 0,05773 0,05773 uderiva 0,27588 0,41463 0,55695 0,83793 1,12564 uprecisión 0,02887 0,02887 0,05774 0,11547 0,05774 ureferencia 0,28670 0,43090 0,57880 0,87080 1,16980 ucorrección 0,01667 0,01667 0,03333 0,06667 0,03333 u c ± 0,399 ± 0,599 ± 0,806 ± 1,217 ± 1,626 Ucalibración (k=2) ± 0,799 ± 1,198 ± 1,612 ± 2,434 ± 3,252 Informe de la calibración En el informe de calibración se indicará la fecha, una breve descripción del procedimiento seguido, así como las condiciones ambientales en las que se ha realizado la calibración.
También se incluirá una referencia que identifique el medidor utilizado como patrón de referencia y el medidor a calibrar.
El informe recogerá, como mínimo, la corrección para cada punto de calibración y la incertidumbre expandida (tabla 4).
Tabla 4.
Resultados de la calibración (ml/min) Medidor de referencia Medidor a calibrar Corrección 44,93 47,78 -2,85 68,52 71,82 -3,29 92,21 96,47 -4,25 139,6 145,1 -5,5 187,9 195,0 -7,1 U(k = 2) ± 1,7 % lec BIBLIOGRAFÍA CONSULTADA UNE-EN 1232:1997 Atmósferas en el lugar de trabajo.
Bombas para el muestreo personal de los agentes químicos.
Requisitos y métodos de ensayo.
UNE-EN 482:2007 Atmósferas en el lugar de trabajo.
Requisitos generales relativos al funcionamiento de los procedimientos para la medición de agentes químicos.
EURACHEM. EURACHEM/CITAC Guide CG 4.
Quantifying uncertainty in analytical measurement (QUAM).
2000.
INTERNATIONAL ORGANIZATION FOR STANDARDIZATION (ISO).
Guide to the Expression of Uncertainty in Measurement (GUM).
1993 [versión en español: Centro Español de Metrología.
Guía para la expresión de la incertidumbre de medida.
2000].
6 Notas Técnicas de Prevención JOINT COMMITTEE FOR GUIDES IN METROLOGY (JCGM).
International vocabulary of metrology — Basic and general concepts and associated terms (VIM).
2008.
[versión en español: Centro Español de Metrología.
Vocabulario Internacional de Metrología – Conceptos fundamentales y generales, y términos asociados.
(VIM).
3ª Edición.
2008].
URIBE B, QUINTANA MJ. Criterios y Recomendaciones.
Bombas de muestreo personal para agentes químicos.
CR-01/2056.
INSHT. 2007.
URIBE B, QUINTANA MJ. Criterios y Recomendaciones.
Determinación de la incertidumbre de medida de agente.
Incertidumbre del volumen de aire muestreado.
CR-04/2008.
INSHT. 2008 Reservados todos los derechos.
Se autoriza su reproducción sin ánimo de lucro citando la fuente: INSHT, nº NTP, año y título.
NIPO: 272.
13-015-4