NTP 0839: Exposición a vibraciones mecánicas. Evaluación del riesgo - Año 2009

Nota Técnica de Prevención 0839
 
Título: 
Exposición a vibraciones mecánicas. Evaluación del riesgo
 
Elaborado por: 
Luis Pujol Senovilla
Centro Nacional de Condiciones de Trabajo (INSHT)
 
Resumen: 
El objeto de la presente NTP es el de dar a conocer los fundamentos y el método para la evaluación del riesgo derivado de la exposición a vibraciones mecánicas y ofrecer, a título ilustrativo, unos ejemplos resueltos que contemplan las cuatro situaciones que pueden presentarse.
 

NIPO: 792-09-063-6

Autor: Instituto Nacional de Seguridad e Higiene en el Trabajo (INSHT)

Contiene: 6 páginas

Descargar PDF (282,0 KB)

Contenido relacionado

Contenido del documento en formato texto

Las NTP son guías de buenas prácticas. Sus indicaciones no son obligatorias salvo que estén recogidas en una disposición normativa vigente. A efectos de valorar la pertinencia de las recomendaciones contenidas en una NTP concreta es conveniente tener en cuenta su fecha de edición.

 

1. INTRODUCCIÓN

La creciente utilización de máquinas y herramientas capaces de transmitir vibraciones a los trabajadores que las utilizan planteó la necesidad de reglamentar dicha exposición a fin de garantizar su seguridad y salud. Esta reglamentación incluye básicamente el Real Decreto 1311/2005 sobre la protección de la salud y la seguridad de los trabajadores frente a los riesgos derivados o que puedan derivarse de la exposición a vibraciones mecánicas y, por otra parte la obligación impuesta por el R.D. 1435/1992 a los fabricantes de máquinas y herramientas de informar sobre el nivel de las vibraciones que emiten. 

El citado R.D. 1311/2005 es la transposición a la legislación española de la Directiva 2002/44/CE sobre disposiciones mínimas de seguridad y salud relativas a la exposición de los trabajadores a los riesgos derivados de los agentes físicos (vibraciones) y establece, entre otros aspectos, los valores límite de exposición y los valores que dan lugar a una acción así como la forma de determinar el parámetro que permite evaluar la exposición.
Para esto último hace referencia a la normas ISO 2631 para vibraciones transmitidas al cuerpo entero y UNE-EN ISO 5349 para las vibraciones transmitidas al sistema manobrazo que, en virtud de su cita explícita en el real decreto, deben ser aplicadas obligatoriamente. 

El objetivo de esta NTP es exponer de forma concisa la forma de evaluar el riesgo de exposición a vibraciones y ofrecer ejemplos que ilustren la forma de hacerlo.


2.ASPECTOS FUNDAMENTALES

De manera general una vibración puede describirse como el movimiento de un cuerpo sólido alrededor de su posición de equilibrio sin que se produzca desplazamiento “neto” del objeto que vibra. Es decir, al final de la vibración el objeto queda en la misma posición que estaba en cuanto empezó a vibrar. Dicho de otra manera: no se produce transporte de materia. El movimiento que se produce al pulsar la cuerda de una guitarra podía ser un buen ejemplo. 

En caso de que el objeto que vibra entre en contacto con alguna parte del cuerpo humano, le transmite la energía generada por la vibración.
Esta energía es absorbida por el cuerpo y puede producir en él diversos efectos (no necesariamente perjudiciales) que dependen de las características de la vibración. 

En prevención de riesgos laborales se toman en consideración dos tipos de vibraciones mecánicas:

  • Las vibraciones transmitidas al sistema manobrazo, es decir aquellas que transmiten su energía al cuerpo humano a través del sistema mano brazo cuyo origen hay que buscar, por regla general, en las herramientas portátiles (taladros, martillos neumáticos, desbrozadotas, pulidoras, etc.) y que el R.D. 1311/2005 define como “La vibración mecánica que, cuando se transmite al sistema humano de mano y brazo, supone riesgos para la salud y la seguridad de los trabajadores, en particular, problemas vasculares, de huesos o de articulaciones, nerviosos o musculares."
  • Las vibraciones transmitidas al cuerpo entero, es decir, aquellas que el cuerpo recibe cuando gran parte de su peso descansa sobre una superficie vibrante (asiento o respaldo del puesto de conducción de una máquina móvil, plataformas vibrantes, etc.) que el mismo real decreto define como “la vibración mecánica que, cuando se transmite a todo el cuerpo, conlleva riesgos para la salud y la seguridad de los trabajadores, en particular, lumbalgias y lesiones de la columna vertebral.”

 

3. CARACTERÍSTICAS DE UNA VIBRACIÓN

Los efectos que producen las vibraciones en el cuerpo humano dependen, fundamentalmente, de las siguientes características:

  • Magnitud de la vibración
  • Frecuencia
  • Dirección en que incide en el cuerpo
  • Tiempo de exposición La magnitud y la frecuencia de la vibración conjuntamente dan idea de la cantidad de energía que se transmite por la vibración.


La magnitud puede medirse en función del desplazamiento producido por la vibración. Por tratarse de un movimiento también puede medirse en términos de la velocidad o la aceleración producidas. De estas tres posibilidades se ha convenido en utilizar la aceleración ya que, entre otras razones, los acelerómetros piezoeléctricos presentan importantes ventajas (fiabilidad, tamaño, etc. ) frente a otros tipos de transductores.

La frecuencia indica el número de veces que vibra por segundo y se mide en hercios (Hz). Las vibraciones producidas por las máquinas, prácticamente nunca van a ser vibraciones de una frecuencia determinada sino una mezcla de vibraciones de diversas frecuencias. De hecho, no se consideran las frecuencias individualmente sino agrupándolas en bandas de tercio de octava. Las octavas que se utilizan en acústica son grupos de frecuencias tales que el límite superior del grupo es el doble que el inferior. Por ejemplo hay una octava en la que se incluyen las frecuencias comprendidas entre 44 y 88 Hz que se caracteriza por su frecuencia central que por convenio se ha establecido en 63 Hz. En el análisis de vibraciones cada una de aquellas bandas se divide en tres resultando las bandas de tercio de octava de 44 a 56 Hz, de 56 a 71 Hz y de 71 a 88 Hz caracterizadas por las frecuencias centrales de 50, 63 y 80 Hz respectivamente. 

Con el fin de armonizar las mediciones, se ha convenido que para evaluar la exposición solo se tienen en cuenta las de frecuencias centrales comprendidas entre 6,3 y 1.250 Hz en el caso de las vibraciones mano-brazo y entre 0,5 y 80 Hz en el caso de las vibraciones de cuerpo completo.
Los instrumentos de medida que son conformes a la normativa actual están dotados de filtros que cumplen con esta condición. Por otra parte, debido a que hay frecuencias más perjudiciales que otras los valores de la aceleración medidos en cada una de las bandas de tercio de octava se ponderan de acuerdo con unos factores que, por regla general, también incorporan dichos instrumentos. 

En cuanto a la dirección de incidencia de la vibración interesa fijarla en relación a unos ejes ortogonales ligados al cuerpo humano y no a referencias espaciales como es habitual. Para ello se han definido para las vibraciones transmitidas al sistema mano brazo o al cuerpo entero los sistemas de coordenadas que se representan en las figuras 1 y 2, cuyas características son las siguientes:

  • Vibraciones cuerpo entero:
    • Eje x: Dirección espalda – pecho. Sentido positivo: hacia el frente
    • Eje y: Dirección hombro – hombro. Sentido positivo: hacia hombro izquierdo
    • Eje z: Dirección pies – cabeza. 


 

  • Vibraciones mano-brazo:
    • Eje z: Dirección del eje longitudinal del 3er hueso metacarpiano. Sentido positivo: hacia la extremidad distal del dedo.
    • Eje x: Dirección dorso palma. Sentido positivo: hacia la palma
    • Eje y: Dirección perpendicular a los otros dos. Sen tido positivo: hacia el pulgar.

Éste último es el sistema biodinámico aunque en la prácti ca se utiliza el sistema basicéntrico que es esencialmente igual al anterior aunque rotado alrededor del eje x de forma que el eje y coincida con la línea de los nudillos y por tanto con el eje de agarre de las máquinas.

Finalmente, el tiempo de exposición es el tiempo que se está sometido a la vibración durante la jornada labo ral. Es un parámetro en cuya determinación hay que ser muy cuidadoso ya que no necesariamente coincide con el tiempo durante el cual se utiliza una máquina, pues con esta misma máquina pueden realizarse diferentes operaciones que representen un nivel de vibraciones también diferente. Para su determinación es fundamental obser var el proceso de trabajo y utilizar un cronómetro o, en algunos casos registrar las operaciones realizadas, por ejemplo en video, para poder determinar dicho tiempo con mayor fiabilidad.

 

4. EVALUACIÓN DEL RIESGO

De acuerdo con lo establecido por el Real Decreto 1311/2005 la evaluación del riesgo derivado de la exposi ción a vibraciones mecánicas debe hacerse determinando el valor del parámetro A(8), que representa el valor de la exposición diaria normalizado para un periodo de 8 horas, y comparando el valor obtenido con el valor que da lugar a una acción y con el valor límite que vienen fijados en el propio real decreto y que se recogen en la Tabla 1. De esta comparación pueden derivarse tres situaciones:

  • A(8) es inferior al valor que da lugar a una acción.
  • A(8) está comprendido entre el valor de acción y el valor límite
  • A(8) es superior al valor límite.


Cada una de dichas situaciones conduce, respectivamen te, a una de las tres formas de actuación que se esque matizan en las figuras 3, 4 y 5. 

Aunque la forma de calcular A(8) es diferente según se trate de vibraciones mano-brazo (en cuyo caso el R.D. remite a la norma UNE-EN ISO 5349) o cuerpo entero (caso en el que debemos recurrir a la norma ISO 2631-1 o a su traducción UNE-ISO 2631-1), para calcularlo nece sitamos conocer el valor de la aceleración de la vibración y el tiempo de exposición. 

El tiempo de exposición se obtiene a través de la observación del método de trabajo y teniendo en cuenta las consideraciones que hacen las normas citadas sobre los diferentes tipos de exposición. 

En cuanto al valor de la aceleración se nos ofrece una doble posibilidad: utilizar valores de la aceleración de los que se dispone de antemano o bien medir dicha aceleración. El artículo 4 del Real Decreto 1311/2005 dice textualmente “El empresario deberá realizar una evaluación y, en caso necesario, la medición de los niveles de vibraciones mecánicas a que estén expuestos los trabajadores …” por lo que queda planteado el problema de cuando es necesario medir o cuando podemos utilizar los valores facilitados por el fabricante o procedentes de bases de datos. (Una de las más importantes puede consultarse en http://www.vibration.db.umu.se).En el Apéndice 2 de la Guía Técnica del citado real decreto elaborada por el INSHT se establecen los requisitos que lo permiten. Para poder determinar la aceleración sin necesidad de recurrir a su medición deben cumplirse todas y cada una de las siguientes condiciones:

a) Disponer de los valores de emisión del equipo, que pueden ser suministrados por el fabricante o proceder de otras fuentes.
b) Las condiciones de funcionamiento reales del equipo son similares a aquéllas para las que se han obtenido los niveles de emisión publicados.
c) El equipo debe estar en buenas condiciones y su mantenimiento se realiza según las recomendaciones del fabricante.
d) Las herramientas insertadas y los accesorios utilizados deben ser similares a los empleados para la determinación de los valores declarados de la aceleración.

Sin embargo, en el caso de las vibraciones mano-brazo debe tenerse en cuenta que los valores de vibración proporcionados por los códigos de ensayo tienden a subestimar el valor real de la vibración de las herramientas cuando éstas son utilizadas en el lugar de trabajo. Por ello, el informe técnico CEN/TR 15350:2005 elaborado por el Comité Europeo de Normalización recomienda que para evaluar el riesgo, los valores de emisión declarados se multipliquen por un factor que oscila entre 1,5 y 2 en el caso de herramientas neumáticas o eléctricas. 

En caso de tener que recurrir a la medición es imprescindible lo siguiente:

  • Disponer de un instrumento de medida acorde con la normativa vigente. (Básicamente que sea conforme a la norma UNE-EN ISO 8041).
  • Llevar a cabo una observación del método de trabajo para poder establecer un programa de mediciones en función de las diferentes tareas y/o distintos niveles de vibración a que está sometido el trabajador. En dicho programa debe tenerse en cuenta que deben hacerse varias mediciones para cada una de dichas situaciones.
  • Colocar los acelerómetros en la posición adecuada y con la orientación correcta.
  • Cumplir con los tiempos de medición en cada una de las determinaciones, de acuerdo con lo que establecen las normas citadas en el real decreto, que de manera muy general pueden resumirse así: En el caso de vibraciones de cuerpo entero hay que hacer un número de mediciones que sea representativo de la exposición a vibraciones a lo largo del día, cada una de las cuales debe tener una duración de por lo menos 3 minutos. En el caso mano-brazo el tiempo total de medida, es decir, el número de medidas por la duración de cada una de ellas, debe ser como mínimo de 1 minuto y debe tenerse en cuenta que no son fiables las mediciones de menos de 8 segundos y que hay que tener por lo menos tres muestras de cada operación medida.


5.CÁLCULO DEL VALOR DE A(8)

Conocidos el valor de la aceleración eficaz de la vibración a que está sometido el trabajador y el tiempo de exposición a la misma, puede calcularse el valor de A(8) que se hará de manera diferente según se trate de vibraciones mano-brazo o de cuerpo entero. En el caso de las vibraciones transmitidas por el sistema mano-brazo, la aceleración eficaz que se utilizará para la determinación de A(8) es la raíz cuadrada de la suma de cuadrados de los valores eficaces de la aceleración ponderada en frecuencia determinados según los tres ejes de referencia, mientras que en el caso en el caso de las vibraciones transmitidas al cuerpo entero, se toma el máximo de los valores 1,4a , 1,4a , a .wx wy wz

Debe tenerse en cuenta que deben considerarse atentamente las diversas fuentes de vibración a que está expuesto el trabajador ya que a lo largo de un día puede manejar diversas máquinas o herramientas o que una sola de ellas genere diferentes niveles de vibración, por ejemplo por conducir una misma carretilla elevadora por superficies diferentes o por cambiar la resistencia del material que se está puliendo o el grano del disco utilizado. En cada caso habrá que determinar la aceleración y el tiempo de exposición correspondientes a cada operación.

En función del tipo de vibraciones y de que se trate de una sola fuente de exposición o de varias, pueden plantearse varios casos que pueden ayudar a aclarar lo antes expuesto. 

Exposición a vibraciones mano brazo con una sola fuente de vibración

En caso de que no se disponga de él determinar el valor eficaz de la aceleración ponderada en frecuencia ahv mediante la expresión.

donde   son las aceleraciones ponderadas en frecuencia según cada uno de los ejes antes descritos.

El valor de A(8) que deberemos comparar con el valor que da a una acción y el valor límite se calcula mediante la expresión.

Ejemplo: Evaluar la exposición a vibraciones de un carpintero que trabaja durante 4 horas diarias con una sierra de calar que produce, en cada eje, las siguientes aceleraciones:

El valor de A(8) es inferior al valor que da lugar a una acción, y este caso corresponde por tanto a la situación representada en la figura 3.

Exposición a vibraciones mano brazo con varias fuentes de vibración En primer lugar se determinan los valores parciales de A(8) correspondientes a las n exposiciones de la forma in dicada en el caso anterior y a continuación se determina el valor de la exposición global que deberemos comparar con los valores de acción y límite mediante la expresión

Ejemplo: Evaluar la exposición a vibraciones de un tra bajador que en su jornada laboral utiliza una pulidora que genera una vibración de 3 m/s2 durante 2 horas, un taladro percutor que transmite una vibración de 8 m/s2 durante 1 hora y un martillo neumático de 12 m/s2 durante 15 minutos.



El valor global es:


Este valor se sitúa entre el valor que da lugar a una acción y el valor límite y por tanto corresponde a la si tuación esquematizada en la figura 4.



Exposición a vibraciones de cuerpo entero con una sola fuente de vibración

Una vez conocidos los valores eficaces de la acelera ción ponderados en frecuencia   se calculan las exposiciones diarias en cada eje mediante las expresiones:


se toma como valor diario de la exposición para com parar con los valores de referencia, el máximo de estos tres valores. 

Ejemplo: Evaluar la exposición a vibraciones de un agri cultor que conduce durante 5 horas un tractor, sometido a vibraciones cuyas aceleraciones en m/s2 según los tres ejes de referencia son: 


Se toma como valor de A(8) el máximo de estos tres, es decir, 0,6 m/s2 que se encuentra entre el valor de ac ción y el valor límite y por tanto en la situación que indica la figura 4.


 

Exposición a vibraciones de cuerpo entero con varias fuentes de vibración

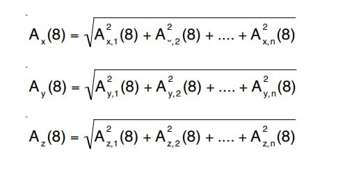
Conocidos los valores de a , a , a correspondienteswx wy wz a cada fuente de exposición, se determinan los valores de A (8), A (8), A (8) asociados a cada una de ellas de x,i y,i z,i la manera indicada en el apartado anterior. Una vez calculados dichos valores se determina la exposición global en cada eje por:


y se toma el máximo de ellos como valor de la expo sición diaria.


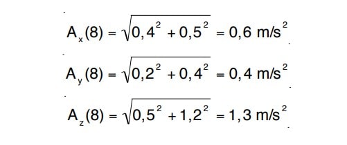
Ejemplo: Evaluar el riesgo de vibraciones de un trabaja dor que maneja una retroexcavadora a la que se puede adaptar un martillo neumático, que a lo largo de la jornada dedica 4 horas a abrir zanja y 2 horas a romper pavimento operaciones en las que se ha medido el siguiente nivel de vibraciones:




 

 

En primer lugar se calcula el valor de A(8) para cada eje y cada tarea:


A continuación se determina el valor global en cada eje:

El máximo de estos tres es 1,3 m/s2, valor que supera el valor límite y en consecuencia corresponde a la situa ción reflejada en la figura 5.


BIBLIOGRAFÍA

(1) REAL DECRETO 1311/2005 de 4 de noviembre sobre la protección de la salud y la seguridad de los trabajadores frente a los riesgos derivados o que puedan derivarse de la exposición a vibraciones mecánicas. boe nº 265 de 5 de noviembre de 2005.
(2) INSTITUTO NACIONAL DE SEGURIDAD E HIGIENE EN EL TRABAJO Guía técnica para la evaluación y prevención de los riesgos relacionados con las vibraciones mecánicas.
(3) UNE-ISO 2631-1.Vibraciones y choques mecánicos. Evaluación de la exposición humana a las vibraciones de cuerpo entero. Parte 1: Requisitos generales. Julio 2008.
(4) UNE-EN-ISO 5349:2002. Vibraciones mecánicas. Medición y evaluación de la exposición humana a las vibraciones transmitidas por la mano.
Parte 1: Requisitos generales. Abril 2002. Parte 2: Guía práctica para la medición en el lugar de trabajo. Abril 2002.
(5) UNE-EN 14253:2004. Vibraciones mecánicas. Medidas de la exposición laboral a las vibraciones de cuerpo completo con referencia a la salud. Guía práctica.
(6) CEN/TR 15350:2006 Vibración Mecánica – Guía para la evaluación de la exposición a la vibración mano-brazo utilizando la información disponible, incluida la información proporcionada por el fabricante de maquinaria.
(7) CEN/TR FIRST COMMITTEE DRAFT MUNICH (MARZO 2005) Vibración mecánica. Guía para la evaluación de la exposición a vibraciones cuerpo completo en el manejo de máquinas de movimiento de tierras.
(8) AGENCIA EUROPEA PARA LA SEGURIDAD Y LA SALUD EN EL TRABAJO Expert forecast on emerging physical risks related to occupational safety and health European Agency for Safety and Health. Bilbao: European Agency for Safety and Health at Work, 2005.
(9) AGENCIA EUROPEA PARA LA SEGURIDAD Y LA SALUD EN EL TRABAJO Workplace exposure to vibration in Europe: an expert review. European Agency for Safety and Health at Work, 2008.
(10) INSTITUTO NACIONAL DE SEGURIDAD E HIGIENE EN EL TRABAJO Higiene industrial. Instituto Nacional de Seguridad e Higiene en el Trabajo. 5ª ed. Madrid: INSHT, 2008.
(11) INSTITUTO NACIONAL DE SEGURIDAD E HIGIENE EN EL TRABAJO Higiene industrial. Problemas resueltos. Instituto Nacional de Seguridad e Higiene en el Trabajo. Madrid: INSHT, 2006.